Е. Петрухина - Регионоведение. Шпаргалка
- Название:Регионоведение. Шпаргалка
- Автор:
- Жанр:
- Издательство:Научная книга
- Год:2009
- Город:Москва
- ISBN:нет данных
- Рейтинг:
- Избранное:Добавить в избранное
-
Отзывы:
-
Ваша оценка:
Е. Петрухина - Регионоведение. Шпаргалка краткое содержание
Регионоведение – область научных знаний, изучающая территориальную организацию хозяйства.
Доступность изложения, актуальность информации, максимальная информативность, учитывая небольшой формат пособия, – все это делает шпаргалку незаменимым подспорьем при подготовке к сдаче экзамена.
Пособие предназначено для студентов высших и средних образовательных учреждений.
Регионоведение. Шпаргалка - читать онлайн бесплатно ознакомительный отрывок
Интервал:
Закладка:
В отраслевых экономико-географических способах анализа применяются показатели для определения отраслей специализации промышленности экономических районов: коэффициент специализации, коэффициент локализации, коэффициент душевого производство, коэффициент межрайонной товарности.
Коэффициент локализацииопределенного производства на территории района (К^ – это отношение удельного веса определенной отрасли в структуре производства района кудельному весу той же отрасли в стране. Расчет производится по валовой или товарной продукции, основным производственным фондам и численности промышленно-производственного персонала:
К л = О р / П р х 100 / О с / П с х 100,
где О р– отрасль района;
О с– отрасль страны;
П — все промышленное производство района;
П с— все промышленное производство страны.
Коэффициент душевого производства(К д) представляет собой отношение удельного веса отрасли хозяйства района в соответствующей структуре отрасли страны к удельному весу населения района в населении страны. Расчет производится по формуле:
К д = О р / О с х 100 / Н р / Н с х 100,
где О р– отрасль района;
О с– отрасль страны;
Н р— население района;
Н в— население страны.
Коэффициент региональной товарности (Кмт) представляет собой отношение вывоза из региона данной продукции к ее региональному производству. Расчет производится по формуле:
Кмт=В о/П р
где В 0— вывоз продукции из региона;
П р– производство продукции в регионе.
4. Показатели, определяющие эффективность специализации районов
Показатель экономической эффективности отраслей хозяйства является одним из наиболее важных факторов их размещения на определенной территории экономического района.
Показатели эффективности размещения производств определяются в виде себестоимости продукции с учетом ее доставки потребителю, удельных капиталовложений на единицу мощности, а также в виде прибыли.
Относительно каждой районной отрасли производства вместе с указанными показателями разрабатывается система технико-экономических показателей ее размещения. Данная система включает в себя следующее:
1) удельные расходы основных видов сырья, топлива, энергии, воды на единицу продукции;
2) выход производственных отходов на единицу продукции;
3) трудовые затраты на единицу продукции;
4) удельные затраты основных фондов.
Установление оптимальных пропорций между показателями эффективности рационального размещения производств в районе обусловлено их использованием.
Для того чтобы определять уровни специализации экономического районирования по количественному критерию, используют следующие коэффициенты:
1) коэффициент локализации;
2) коэффициент душевого производства;
3) коэффициент межрайонной товарности.
Коэффициент локализации производства
(L) выражает отношение удельного веса определенной отрасли в структуре производства к удельному весу той же отрасли в стране. Коэффициент локализации рассчитывается по следующим показателям:
1) валовая товарная продукция;
2) основные промышленные фонды;
3) численность промышленно-производственного персонала.

где х j— доля j-ro региона в общем объеме факторного признака;
у j— доля j -го региона в общем объеме результативного явления (в данном случае товарооборота);
п — число j-x регионов.
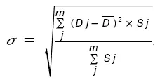
Коэффициент душевого производства(Q Д)
выражает отношение удельного веса отрасли хозяйства региона в соответствующей структуре страны кудельному весу населения региона в населении страны.

где D j —товарооборот надушу населения j-ro региона;
D (с чертой сверху) – средний товарооборот на душу населения по всем регионам;
S j —численность населения j-ro региона;
т– число j-x регионов.
Коэффициент региональной товарности
(Кмт) выражает отношение вывоза из региона данной продукции к ее региональному производству.
5. Задачи научной дисциплины «Регионоведение»
Наиболее важными задачами регионоведения являются: 1) разработка теоретических основ формирования и развития экономических районов в условиях становления и развития рыночных отношений;
2) разработка программ развития экономических районов в условиях рынка;
3) разработка рекомендаций по совершенствованию структуры и управления экономических районов всех таксономических рангов.
При проведении региональных экономических реформ основными задачами являются:
1) разработка мер по пространственной интеграции экономики России;
2) создание механизма вертикального и горизонтального взаимодействия органов управления;
3) разработка мероприятий по преодолению распада межрегиональных хозяйственных связей, сохранению единого рыночного пространства.
В зависимости от региона можно выделить следующие стратегические задачи регионального развития:
1) для старопромышленных районов и крупных городских агломераций:
а) конверсия оборонных отраслей, модернизации инфраструктуры;
б) утверждение множества форм собственности;
в) оздоровление экологической обстановки;
2) для районов Нечерноземья, Южного Урала, Сибири, Дальнего Востока:
а) преодоление кризиса в аграрной сфере;
б) возрождение малых городов и сел;
в) развитие производственной и социальной инфраструктуры;
г) освоение заброшенных земель;
д) разработки программ по самообеспечению населения продовольствием;
3) для экстремальных районов Крайнего Севера и горных районов:
а) стабилизация социально-экономического положения;
б) создание условий для возрождения малочисленных народов при основательной государственной поддержке;
в) формирование новых хозяйственных комплексов на базе уникальных природных ресурсов и инвестиций для выполнения программ их развития;
г) разработка системы мер по комплексному использованию добываемого сырья с соблюдением строгих экологических стандартов;
4) для всех регионов России:
а) стимулирование развития экспортных и импортозаменяющих производств;
б) формирование свободных экономических зон;
в) создание технополисов как региональных центров внедрения достижений отечественной и мировой науки, ускорения экономического и социального прогресса.
Читать дальшеИнтервал:
Закладка: