Пётр Акованцев - Вселенная – форма жизни Бога. Теория Всего

Тут можно читать онлайн Пётр Акованцев - Вселенная – форма жизни Бога. Теория Всего - бесплатно ознакомительный отрывок. Жанр: religion. Здесь Вы можете читать ознакомительный отрывок из книги онлайн без регистрации и SMS на сайте лучшей интернет библиотеки ЛибКинг или прочесть краткое содержание (суть), предисловие и аннотацию. Так же сможете купить и скачать торрент в электронном формате fb2, найти и слушать аудиокнигу на русском языке или узнать сколько частей в серии и всего страниц в публикации. Читателям доступно смотреть обложку, картинки, описание и отзывы (комментарии) о произведении.
  • Название:
    Вселенная – форма жизни Бога. Теория Всего
  • Автор:
  • Жанр:
  • Издательство:
    неизвестно
  • Год:
    неизвестен
  • ISBN:
    9785005572288
  • Рейтинг:
    5/5. Голосов: 11
  • Избранное:
    Добавить в избранное
  • Отзывы:
  • Ваша оценка:
    • 100
    • 1
    • 2
    • 3
    • 4
    • 5

Пётр Акованцев - Вселенная – форма жизни Бога. Теория Всего краткое содержание

Вселенная – форма жизни Бога. Теория Всего - описание и краткое содержание, автор Пётр Акованцев, читайте бесплатно онлайн на сайте электронной библиотеки LibKing.Ru
С момента осознания себя человеком, Бог незримо присутствует в его жизни. Наука отрицает Его существование. Эта книга – первая попытка рассказать о том, кто Бог, кто Его создал, как Он сотворил Вселенную. Многие скептически отнесутся к данному повествованию, но неизбежно каждый из вас с Ним встретится. Всё решается здесь и сейчас. «Итак во всем, как хотите, чтобы с вами поступали люди, так поступайте и вы с ними, ибо в этом закон и пророки». От Матфея 7:12 Обратитесь от пути своего.

Вселенная – форма жизни Бога. Теория Всего - читать онлайн бесплатно ознакомительный отрывок

Вселенная – форма жизни Бога. Теория Всего - читать книгу онлайн бесплатно (ознакомительный отрывок), автор Пётр Акованцев
Тёмная тема
Сбросить

Интервал:

Закладка:

Сделать
Рис17 Угасающий квазар который выполняет важную роль в становлении - фото 21

Рис.17 Угасающий квазар

который выполняет важную роль в становлении гравитационных полей звёзд и планет. Своими СВЕТОВЫМИ потоками он нагнетает Эфир в свои недра, но по мере прохождения через галактику, Эфир питает новорождённые звёзды и планеты, помогая становлению их гравитационных полей. Наступает момент, когда практически весь Эфир, по мере движения к квазару, поглощается звёздами и планетами, поэтому квазар угасает. Именно поэтому жизнь квазара коротка. От квазара, в центре галактики, остаётся шаровая область заполненная СВЕТОМ. Она ничего не излучает и поэтому не видна.

Ранее было известно, что гравитация – это сила, с которой все материальные объекты взаимодействуют друг с другом. Сила взаимодействия всемирного тяготения была И. Ньютоном выражена формулой:

Однако не была открыта природа гравитации и до настоящего времени никто - фото 22

Однако не была открыта природа гравитации, и до настоящего времени никто представления не имеет о самой природе гравитации.

Мною теоретически обоснована научная идея о том, что гравитация, не что иное, как поток Эфира к центрам планет и звёзд, где он переходит в другое агрегатное состояние-СВЕТ и СВЕТ двигаясь от центра, вихревым конусным потоком, нагнетает Эфир к центру, звёзд и планет.

Научные значения данной идеи заключаются в том, что она полностью меняет представление о окружающем нас мире и Вселенной. Благодаря данной научной идее можно объяснить формирование плазменного кристалла, который был получен на орбитальной станции «Мир» в течении восьмилетнего эксперимента, потерю мышечной массы космонавтов, находящихся длительное время на орбите, создать новую теорию возникновения вселенной, в основе которой будет не материя, а сознание. Она позволит нам отказаться от большого взрыва и даст возможность заглянуть в начало начал.

Благодаря данному открытию, можно будет практически со 100% вероятностью, просчитать возникновение землетрясений, возможно даже за несколько суток до их начала. Разработать новые технологии и т. д. и т. п.

Гравитация-процесс нагнетания Эфира в недра планет и звёзд СВЕТОВЫМИ потоками. СВЕТОЭфирный поток это джет. Из множества таких джетов состоит гравитационное поле Земли. Свет нагнетает Эфир в недра, а движущийся в недра Эфир приталкивает тела к поверхности Земли. Вещество в недрах переводит Эфир в СВЕТ. Далее СВЕТ излучается и процесс будет продолжатся до тех пор пока весь Эфир не перейдёт в СВЕТ.

Доказано, что звезды излучают энергию в окружающее пространство в виде Света (в данном случае под Светом подразумевается только видимое излучение, которое является другим агрегатным состоянием Эфира.)

Как известно, освещенность

Где Ф световой поток Чем дальше находится от источника света тем меньший - фото 23

Где: Ф – световой поток. Чем дальше находится от источника света, тем меньший световой поток приходится на единицу площади. Наука утверждает, что сила света,

из чего следует что сила света не зависит от расстояния до источника света - фото 24

из чего следует, что сила света не зависит от расстояния до источника света. Так ли это? Рассмотрим это на примере: см. Рис. 18

Рис 18 Световой поток в зависимости от расстояния По данной формуле мы - фото 25

Рис. 18 Световой поток в зависимости от расстояния

По данной формуле мы имеем: J 1=J 2=J 3 .

Но это справедливо лишь только в том случае, если мы соберем световой поток со всей площади. Однако S 123 , значит ΔФ 1> ΔФ 2> ΔФ 3 приходящийся на единицу площади.

Если S 123 , то J 1> J 2> J 3 .

И чем дальше от источника света, тем меньше светового потока приходится на единицу площади, соответственно, чем дальше от источника света, тем сила света меньше. Значит: J=E · S.

Рассмотрим два источника света, световые потоки которых известны и Ф 1> Ф 2 .

Освещенность от первого источника:

от второго Равенство освещенности от Ф 1 и Ф 2 будет в некоторой точке О - фото 26

от второго:

Равенство освещенности от Ф 1 и Ф 2 будет в некоторой точке О - фото 27

Равенство освещенности от Ф 1 и Ф 2 будет в некоторой точке О.

Рис 19 Равенство двух световых потоков в точке О - фото 28 Вселенная форма жизни Бога Теория Всего - фото 29

Рис. 19 Равенство двух световых потоков в точке О

Если будет известно расстояние между источниками света L то R 1LR 2 отсюда - фото 30

Если будет известно расстояние между источниками света L, то R 1=L-R 2 , отсюда

Рассмотрим ситуацию с гравитацией Возьмем две массы m 1 m 2 излучающие СВЕТ - фото 31

Рассмотрим ситуацию с гравитацией.

Возьмем две массы m 1> m 2 излучающие СВЕТ Ф 1> Ф 2

Каждая масса будет концентрировать вокруг себя гравитационные потоки, плотность которых будет равна:

Вселенная форма жизни Бога Теория Всего - фото 32 Рис20 Равенство двух Эфирных потоков в точке О В некоторой точке О - фото 33

Рис.20 Равенство двух Эфирных потоков в точке О

В некоторой точке О плотность гравитационных потоков будет равна:

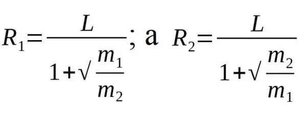
тогда если расстояние между массами L то - фото 34 тогда если расстояние между массами L то Отсюда силу взаимодействия - фото 35

тогда, если расстояние между массами L , то

Отсюда силу взаимодействия двух масс можно определить по формуле - фото 36

Отсюда силу взаимодействия двух масс можно определить по формуле:

где S В площадь взаимодействия двух масс g B ускорение в точке - фото 37 где S В площадь взаимодействия двух масс g B ускорение в точке - фото 38

где: S В – площадь взаимодействия двух масс.

Читать дальше
Тёмная тема
Сбросить

Интервал:

Закладка:

Сделать


Пётр Акованцев читать все книги автора по порядку

Пётр Акованцев - все книги автора в одном месте читать по порядку полные версии на сайте онлайн библиотеки LibKing.




Вселенная – форма жизни Бога. Теория Всего отзывы


Отзывы читателей о книге Вселенная – форма жизни Бога. Теория Всего, автор: Пётр Акованцев. Читайте комментарии и мнения людей о произведении.


Понравилась книга? Поделитесь впечатлениями - оставьте Ваш отзыв или расскажите друзьям

Напишите свой комментарий
x