Алексей Анпилогов - Катастрофа бронзового века
- Название:Катастрофа бронзового века
- Автор:
- Жанр:
- Издательство:неизвестно
- Год:неизвестен
- ISBN:нет данных
- Рейтинг:
- Избранное:Добавить в избранное
-
Отзывы:
-
Ваша оценка:
Алексей Анпилогов - Катастрофа бронзового века краткое содержание
Катастрофа бронзового века или бронзовый коллапс — термин, которым археологи и историки обозначают переход от бронзового к железному веку на древнем Ближнем Востоке и в Восточном Средиземноморье. В этом регионе смена эпох была связана с катастрофическими изменениями в общественном укладе, утратой многих традиций, в том числе письменности, разрушением всех крупных государств и многих городов того времени. На большой территории наступает период «тёмных веков» (в Греции период известен как Греческие тёмные века).
В период 1206—1150 гг. до н. э. нашествие «народов моря», крушение микенских царств, Хеттского царства в Анатолии и Сирии и конец доминирования Египетской империи в Сирии и Ханаане привели к угасанию торговых путей и снижению грамотности (в связи с чем исчезли микенская линейная и лувийская письменности). На первом этапе данного периода почти каждый город между Троей и Газой был разрушен и зачастую после этого больше не был населён: так, были заброшены Хаттуса, Микены, Угарит.
Цивилизационно и технологически катастрофа привела к значительным регрессивным явлениям во всех областях жизни и материальной культуры. Живопись и кораблестроение, ткацкое искусство и архитектура, обработка металлов и водоснабжение будут отброшены на много лет назад и возрождены только примерно через тысячу лет в период поздней архаики. Так, миф о гибели царя Крита Миноса в ванной от пущенной царем Сицилии горячей воды считался преувеличением даже в эллинистический период. И только в Римское время появились бассейны с трубами отдельно для горячей и холодной воды. Многоэтажные дворцы Кносса и Феста, каменные дома горожан и канализация городов Санторина и островов Ионии, огромные нежилые постройки, открытые на Кипре и на Сицилии, - все это еще требует осмысления будущими историками.
Цикл статей Алексея Анпилогова описывает происходившие события.
Катастрофа бронзового века - читать онлайн бесплатно ознакомительный отрывок
Интервал:
Закладка:
Однако, в разгадке всей динамики и последовательности Катастрофы Бронзового века исторической науке приходится напрягать все силы из всех этих отраслей знания — и всё равно смысл происходивших между этими датами событий оказывается покрыт туманом вероятностей и неопределённостей.
Ситуация похожа на известный опыт с концентрацией внимания. В то время, как мы концентрируемся на одних, широко известных фактах, другие, не вроде бы и не столь значимые, остаются вне нашего внимания.
Ведь, в отличии от классического детектива нам с самого начала точно ясно, что убийца — садовник. Но ни способ убийства, ни мотив, ни предыстория взаимоотношений жертвы и убийцы нам неясна.

Садовника-убийцу зовут «народы моря». И это имя — уже загадка.
И я лишь предлагаю одно из возможных решений.
Сегодня кто-нибудь умрёт
В первый раз крах глобализации мира произошёл именно тогда — в конце великолепного и чудесного Бронзового века.
Причём этот крах был предопределен именно той уникальной ситуацией, которая сложилась в Восточном Средиземноморье в конце II тысячелетия до нашей эры. В чём-то этот далёкий XII век до нашей эры неуловимо похож на наш собственный мир 1945–2012 годов.
По сути дела, последнее столетие Бронзового века перед «тёмными веками» перехода от бронзы к железу — это столетие мира, столетие без войн и столетие без крупных потрясений.
Более того, это столетие небывалого потепления в истории Земли. Это вообще самое масштабное потепление, которое застало цивилизованное человечество в своей истории.
Часто алармисты погодных изменений приводят вот такую угрожающую картинку:

Вам страшно? Мне – пока нет.
Всё дело в масштабе. На самом деле картинка исторических температур, выстроенная на основании новейших анализов колонок континентального льда в Гренландии, выглядит вот так:

LBA — температурный оптимум эпохи позднего Бронзового века
RWP — температурный оптимум римского времени
MWP — средневековый температурный оптимум.
Наша скромная, современная температурная планочка вообще пока не получила никакого официального имени — не доросла ещё по масштабам до своих старших братьев.
А в целом, при взгляде на последний график понятно, что на протяжении как минимум последних 3000 лет на планете шло постепенное глобальное похолодание, но никак — не столь рекламируемое и тиражируемое глобальное потепление.
Источник графика, ещё раз — весьма уважаемая программа наблюдений за климатом. Её просто не любят цитировать, ведь поиске Гугла вы скорее всего увидите кучу графиков «полимерыпрос***ыполземнакладбище» , очень похожих и по смыслу, и по содержанию на первый график.
Кроме того, надо указать, что глобальное потепление, ассоциированное обычно в массовом сознании с наступлением пустынь и сухим климатом, обычно наоборот — приводит к увлажнению и смягчению климата. Самая большая пустыня в мире на самом деле не Сахара, а Антарктида. Весь лёд, с удобством расположившийся на этом материке не выпал там в виде снега и дождя, а намёрз там прямо из холодного воздуха — по количеству осадков Антарктида, что говорится «ноль целых и ноль десятых».
Например, хорошо задокументированный Средневековый климатический оптимум характеризовался заметным ростом населения и сельскохозяйственной продукции, за счёт расширения земледельческих угодий и более высокого качества урожаев.
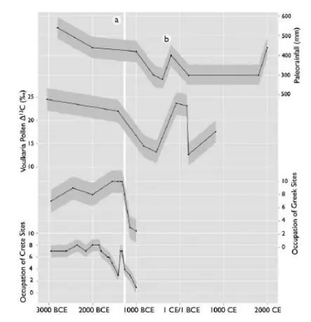
Поэтому, согласно последним исследованиям палеоклимата — осадки в Восточном Средиземноморье, хоть и монотонно уменьшались на протяжении периода 4000–1000 гг до н. э., но в целом оставались на более-менее постоянном уровне:

Верхний график — количество осадков. Точка а и белая полоса — последний спокойное докризисное столетие Бронзового века, точка b — температурный оптимум Римской Империи.
Как видите, если бы у римлян было увлажнение Средиземноморья на уровне Бронзового века — с их технологиями и размахом они вполне могли бы дотянуть и до 1000 г н. э. Но — не повезло, уже к III веку нашей эры температурный оптимум испарился — и Римской Империи пришлось пускаться во все тяжкие — начиная от повышения налогов и заканчивая порчей монеты.
Хорошо, скажет внимательный читатель, а где же повышение количества осадков в Средиземноморье во время Средневекового оптимума? Почему у нас тут на графиках в районе 1000–1300 гг. н. э. прямая линия? И почему осадки во время Бронзового века всё же понемногу уменьшаются, несмотря на эпический рост температур?
Просто климат конкретного региона имеет много параметров и глобальная температура — лишь один из них. Например, горная гряда всегда заставляет воздушные массы подниматься вверх, а поднимаясь вверх они охлаждаются и вынуждены терять влагу. Поэтому обычно склоны гор, обращённые к преобладающим ветрам всегда увлажняются больше, чем противостоящие им.
Похожий климатический эффект создают леса. Лес охлаждает воздух над ним за счёт интенсивного поглощения солнечного света (который иначе бы нагревал почву и создавал мощный тёплый восходящий поток) и вызывает дополнительные осадки на лесистой территории.
На протяжении же всего исторического времени лесной покров Европы монотонно уменьшался, достигнув минимума в современности. Бронзовый век был лишь первым аккордом, который возвестил о тотальных притязаниях человека на изменение окружающей природы:

Важнейшим элементом производства металла было топливо, в частности, древесный уголь. Массовая дефорестация восточного Средиземноморья началась ещё около 1500 г. до н. э., по-видимому, сначала в наиболее сухих районах. Во всяком случае, уже законы Хаммурапи (1750 лет до н. э) налагали высокий штраф за вырубку лесов. Трудно сейчас себе представить, но около 2000 г до н. э. всё северное побережье Африки было покрыто густым лесом, а в Марокко, Алжире и Тунисе он сохранился ещё и в 1000 г до н. э.
Провинция Африка была одной из главных житниц Рима, наряду с широко известным Египтом.
Я знаю где, я знаю как
По реконструкции современных археологов, производство рудниками Лавриона в Аттике трех с половиной тысяч тонн серебра и 1,4 миллиона тонн свинца на протяжении 300 лет сопровождалось уничтожением более 1 миллиона гектаров леса. Разработка рудников Лавриона была приостановлена не из-за исчерпания запасов руды и не потому, что выработка опустилась ниже уровня подземных вод, а из-за того, что стоимость «горючего» для производствам металла — леса — делала рудники убыточными.
Читать дальшеИнтервал:
Закладка: