Виктор Алексеев - ОБЖ в вопросах и ответах
- Название:ОБЖ в вопросах и ответах
- Автор:
- Жанр:
- Издательство:неизвестно
- Год:2009
- ISBN:нет данных
- Рейтинг:
- Избранное:Добавить в избранное
-
Отзывы:
-
Ваша оценка:
Виктор Алексеев - ОБЖ в вопросах и ответах краткое содержание
ОБЖ в вопросах и ответах - читать онлайн бесплатно ознакомительный отрывок
Интервал:
Закладка:
На долю остальной части пресных вод, пригодных для водоснабжения, приходится всего лишь 0,3 % объема гидросферы. В настоящее время во многих районах Земли наблюдается острая нехватка пресной воды, в частности в России – в Калмыкии, Сальских степях, на Черных землях. Как показывает медицинская статистика, потребление населением пресной воды загрязненной различными канцерогенами (химическими веществами) вызывает заболевания желудочно-кишечного тракта, печени, почек и т. д. На водозаборных системах городов обработка воды, предназначенной для питьевых нужд, дает лишь очистку от вредных, болезнетворных микробов и бактерий, а также от твердых частиц – песка, глины и пр. Загрязнение воды происходит также в процессе транспортировки ее по трубопроводным городским системам и перекачке питьевой воды водонапорными внутригородскими станциями. Отечественная промышленность выпускает целую серию фильтров для очистки водопроводной воды:
1) «Аквалон» – избавляет воду от неприятного запаха и привкуса, очищает от ядохимикатов, микробов, солей тяжелых металлов, соединений железа, радиоактивных компонентов, фенологуминовых кислот;
2) «Барьер» аналогично «Аквалону» производит высокоэффективную очистку водопроводной воды;
3) «БИП – 1» предназначен для получения доброкачественной питьевой воды из любых пресноводных источников;
4) «Лидер» – получение воды, пригодной для питья, из любых природных источников;
5) «Крымская росинка» – изготавливается в виде мембранного фильтра, не требует сменных элементов, напора водопроводной сети, электричества;
6) «Сильва-93-Э» – ионатор бытовой для обеззараживания воды ионами серебра;
7) «Шунгитовый фильтр» – в нем используется природный камень шунгит. После очистки водопроводной воды этим фильтром она приобретает свойства лечебной воды.
4. Как осуществляется расчет выпусков сточных вод в водоемы
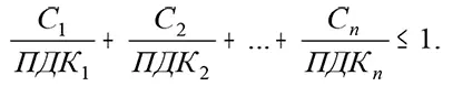
Перед осуществлением выпусков сточных вод в водоемы производится предварительный анализ по содержанию вредных веществ в промышленных или бытовых сточных водах. Затем устанавливается предельно допустимая концентрация (ПДК) по каждому виду: например, по нефтепродуктам ПДК установлен в пределах 0,1 мг/л, по железу (Fe 2+) – 0,5 мг/л; по меди (Си 2+) – 1,0; поверхностно-активным веществам (ПАВ) – 0,5 мг/л; фенола 0,001 мг/л; азота нитратов – 10,0 мг/л; азот аммиака – 2,0 мг/л; цинка – 1,0 мг/л; кобальта (Со 2+) – 1,0 мг/л и т. д. По каждому химическому веществу, попадающему в сточные воды, специалистами установлены ПДК. Кроме того, существуют специальные Правила охраны поверхностных вод от загрязнения сточными водами, при этом все водные объекты отнесены к двум категориям: первая – источники хозяйственно-питьевого водоснабжения, а также водоснабжения предприятий пищевой промышленности; вторая – объекты для отдыха населения, спорта и купания. Также на две категории подразделяются водные объекты рыбохозяйственного использования: первая категория включает водные объекты, в которых сохраняются и воспроизводятся ценные виды рыб, обладающих высокой чувствительностью к кислороду и загрязнениям; вторая категория – водные объекты, используемые для других рыбохозяйственных целей. ПДК того или в иного вещества в сточных водах всех видов устанавливается по тому признаку вредного действия (влияния на здоровье населения по токсикологическому действию и т. д.), который характеризуется меньшей пороговой концентрацией. Исследованиями установлено, что этот признак вредности определяет характер наиболее вероятного неблагополучного действия наименьших концентраций веществ. Соответственно, он получил название лимитирующего признака вредности(ЛПВ). Этот признак является главным показателем при планировании сброса сточных вод в какой-либо водоем (водный объект, хранилище, отстойники и т. д.). Лимитирующий признак вредности того или иного вещества обязательно учитывается при строительстве (сооружении) оборудования или отстойников, через которые пропускаются сточные воды. При этом в очистном оборудовании обязательно применяются фильтры различных видов, в частности нефтеловушки, песколовки и т. д. Отстойники выполняются первичными горизонтальными, первичными вертикальными и двухъярусными. Далее при необходимости снижения концентрации вредных веществ в сточных водах, устанавливаются аэротенки и метатенки.Бытовые сточные воды в обязательном порядке при выполнении сброса предварительно подвергают обеззараживанию – в основном хлорированию (обычно в отстойниках или после них). Правила охраны поверхностных вод требуют соблюдения принципа гигиенического нормирования при одновременном присутствии в воде нескольких вредных веществ. Согласно этому принципу вещества одного лимитирующего признака вредности проявляют аддитивное действие.Это означает, что общее воздействие двух или нескольких веществ одного ЛПВ (содержащихся в предельно допустимой концентрации каждое) будет таким же, как если бы какое-нибудь из них, присутствуя в сточных водах, содержалось в двух или нескольких ПДК. Данное положение в Правилах охраны поверхностных вод зафиксировано в следующей форме: при наличии в сточных водах нескольких веществ с одинаковым ЛПВ сумма отношений этих концентраций (С 1, С 2, …С n) к соответствующим ПДК не должна превышать 1, т. е.: 
В тех случаях, когда ПДК не определен и находится на стадии разработки, используют такие показатели, как ОДК – ориентировочно допустимая концентрация. Кроме того, при расчете сточных вод обязательно устанавливается предельно допустимый сброс(ПДС) – максимальное количество загрязняющих веществ, которое в единицу времени разрешается данному конкретному предприятию сбрасывать в определенное место, в том числе в водный объект, не вызывая при этом превышения в них предельно допустимых концентраций загрязняющих веществ и неблагоприятных экологических последствий. В ряде случаев для некоторых предприятий устанавливаются значения временно согласованных сбросов вредных веществ в сточных водах и вводится поэтапное снижение показателей сбросов вредных, загрязняющих веществ до значений, которые обеспечивают предельно допустимый сброс (ПДС). Также для каждого предприятия устанавливается предельно допустимый объем (ПДОСВ) сточных вод в сутки, в месяц, квартал и всего в год. За всеми параметрами, установленными применительно к сточным водам, осуществляется постоянный экологический контроль. В случае нарушения расчетных параметров по сточным водам (особенно при превышении ПДК вредных веществ) органами экологического контроля на виновных налагаются штрафы, которые взыскиваются в бесспорном порядке. При частом или постоянном превышении ПДК вредных веществ в сточных водах принимаются радикальные меры в отношении виновных вплоть до закрытия отдельных производств или предприятий полностью.
Читать дальшеИнтервал:
Закладка: