Вилен Барабой - Солнечный луч
- Название:Солнечный луч
- Автор:
- Жанр:
- Издательство:Наука
- Год:1976
- Город:Москва
- ISBN:нет данных
- Рейтинг:
- Избранное:Добавить в избранное
-
Отзывы:
-
Ваша оценка:
Вилен Барабой - Солнечный луч краткое содержание
В книге рассказывается о роли Солнца и солнечного света в возникновении и развитии жизни на Земле, в процессах фотосинтеза. Анализируются физическая природа и особенности действия на организм видимого света, ультрафиолетовых и инфракрасных лучей; рассматривается влияние физических процессов, протекающих в недрах Солнца, на ритм разнообразных процессов в биосфере. Особое внимание автор уделяет изучению воздействия солнечных лучей на организм человека.
Утверждено к печати редколлегией серии научно-популярных изданий Академии наук СССР
Солнечный луч - читать онлайн бесплатно полную версию (весь текст целиком)
Интервал:
Закладка:
Наиболее известные синтетические красители представляют собой солеобразные соединения, т. е. это заряженные молекулярные ионы. Приобретению молекулой заряда способствуют так называемые ауксохромные группы: —NH 2(аминогруппа) и —ОН (гидроксильная). Включение этих групп в молекулу выявляет или усиливает цвет исходного соединения, способствует проявлению его красящих свойств.
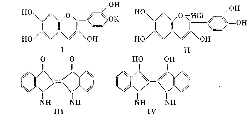
Все сказанное о структуре относится не только к синтетическим, по и к естественным красителям, в частности к антоцианам, основным элементом которых являются все те же бензольные кольца, а введение гидроксильных групп, кислотных или основных группировок изменяет цвет красителя. Калиевая соль антоциана, обладающая щелочными свойствами, придает синий цвет василькам (I). В результате присоединения кислотной группы к основному антоциану образуется краситель, придающий красный цвет розам (II). Молекула индиго (III) после присоединения двух атомов водорода становится бесцветной, но приобретает растворимость (IV).

Для соединения атомов углерода и водорода, кислорода, азота, серы, из которых построены молекулы красителей, типична ковалентная связь, которая осуществляется парой электронов, общих для обоих связанных атомов. В качестве грубой схемы можно представить себе, что каждый электрон описывает вокруг обоих атомов сложную орбиту — восьмерку. Чтобы возбудить образующие такую связь сигма-электроны, нужна очень большая энергия. Соединения, содержащие одинарные, насыщенные связи, способны поглощать только большие фотоны коротковолновых ультрафиолетовых лучей. Как красители они не пригодны: они поглощают свет в области, далекой от видимой области спектра.
Иное дело — молекулы ненасыщенных соединений, содержащие двойную связь. Электроны, образующие вторую связь
,
легко возбуждаются. Для перехода на более высокий энергетический уровень таким электронам (их называют пи-электронами) требуется гораздо меньше энергии. Но и вещества с двойными связями поглощают только ультрафиолетовые лучи, а потому они не окрашены. Особенно подвижны пи-электроны в соединениях с сопряженными, правильно чередующимися двойными связями. Таковы, например, полиметиновые и азометиновые цепи атомов, а также замкнутые, главным образом шестичленные кольца и их агрегаты. Во всех этих структурах пи-электроны настолько слабо связаны со своими двумя атомами, что свободно перемещаются по всей структуре молекулы. Такие делокализованные электроны особенно легко возбуждаются квантами небольшой величины. Вещества, содержащие де-локализованные пи-электроны, способны поглощать фотоны света в видимой области спектра, т. е. они окрашены.
В структуре красителей основные элементы молекул (кольца и цепочки) представляют собой системы сопряженных связей с делокализованными пи-электронами. Именно эта особенность структуры и делает их красителями. Удлинение системы сопряженных связей, переход бензольных колец в хиноидную форму (с образованием дополнительных двойных связей) облегчают возбуждение и сдвигают максимум поглощения света в сторону более длинных волн.
Аналогично действует включение в молекулу красителя ауксохромных групп (—NH 2; —ОН), увеличивающих заряд и поляризацию молекулы.
Процесс поглощения энергии молекулами красителя очень важен для живых организмов, в теле которых большую роль играют красящие вещества — пигменты. Важен он и для практической деятельности человека, будь то крашение тканей, применение красителей в качестве лекарственных препаратов или добавок к пищевым продуктам.
Молекула, поглотившая фотон света, не может долго оставаться в возбужденном состоянии. В течение стомиллионных долей секунды она отдает свою избыточную энергию, а возбужденный электрон скачком возвращается на место. Отдача электронной энергии возбуждения происходит несколькими путями.
Первый путь носит название резонансного излучения. Знакомство с ним помогает глубже понять механизм возникновения цветов. Поставим рядом на стол два камертона, настроенных на одинаковую частоту, на одну и ту же ноту. Если один из камертонов заставить звучать о помощью смычка или молоточка, а затем остановить пальцем, то станет слышно звучание второго камертона, хотя мы к нему не прикасались. Но если изменить частоту колебаний второго камертона, прилепив к нему кусочек пластилина, резонанса не будет.
Нечто аналогичное происходит в радиоприемнике. Из огромной массы разнообразных радиоволн он улавливает и поглощает только одну. Если каждая радиостанция излучает в эфир волны своей частоты — своего «цвета», то радиоприемник, подобно красителю, поглощает один из этих цветов. Вращением тумблера мы плавно изменяем частоту электрических колебаний в его конденсаторах и катушках до тех пор, пока она не совпадет с частотой волн передающей станции. Следовательно, в этом случае можно изменять «краску» до поглощения нужного нам «цвета». Радиоприемник поглощает радиоволны, а краситель — более короткие световые волны.
Но камертон не только поглощает волны определенной частоты, но и излучает их вновь — резонирует. То же происходит и с красителем. Его молекулы, подобно крошечным камертонам, поглощая световые колебания определенной частоты, начинают резонировать, т. е. излучать свет той же частоты. Но каждый такой крохотный резонатор посылает волны света во всех направлениях. В прежнем же направлении, по которому распространялся свет от источника, колебания резонансной частоты будут распространяться во много раз слабее, чем без встречи с резонатором-красителем. Это явление мы и воспринимаем как поглощение света определенных частот — как появление окраски.
Циклические молекулы, в которых правильно чередуются одинарные и двойные связи между атомами углерода, и являются идеальными резонаторами, легко поглощающими и излучающими лучи видимой части спектра. Они-то и придают окраску окружающему нас земному миру, его живым обитателям и неживым предметам.
Нарисованная нами картина — это идеальный случай, который, как и все идеалы, воплощается в жизнь обычно не полностью ввиду вмешательства побочных факторов. Важнейший из этих факторов в данном случае — потеря части световой энергии при ее поглощении молекулами, при возбуждении пи-электронов и последующей отдаче поглощенной энергии излучением. Один из важнейших законов физики — второе начало термодинамики — утверждает, что при всякого рода энергетических переходах какая-то часть энергии переходит в тепловую, т. е, в энергию беспорядочного колебания и вращения молекул.
Читать дальшеИнтервал:
Закладка: