Михаил Левицкий - Карнавал молекул. Химия необычная и забавная
- Название:Карнавал молекул. Химия необычная и забавная
- Автор:
- Жанр:
- Издательство:Литагент Альпина
- Год:2019
- Город:Москва
- ISBN:978-5-0013-9101-2
- Рейтинг:
- Избранное:Добавить в избранное
-
Отзывы:
-
Ваша оценка:
Михаил Левицкий - Карнавал молекул. Химия необычная и забавная краткое содержание
В книге рассказано о некоторых драматичных, а, порой, забавных поворотах судьбы как самих открытий, так и их авторов. Кроме того, читатель потренируется в решении занятных задач, что особенно приятно, когда рядом помещена подсказка, а потом и сам ответ.
В отличие от учебника в книге нет последовательного изложения основ химии, поэтому ее можно читать, начиная с любой главы.
Карнавал молекул. Химия необычная и забавная - читать онлайн бесплатно ознакомительный отрывок
Интервал:
Закладка:

Если же выбрать такое соотношение реагентов, чтобы на четыре атома цинка приходилось шесть молекул карбоновой кислоты, то ионы цинка расположатся по вершинам мысленного тетраэдра, карбоновые кислоты соединятся с ионами Zn, причем атомы О в карбонильной группе С=О, в отличие от предыдущей реакции, координируют не тот же самый, а соседний атом цинка. Образуется агрегат в форме четырехгранника – тетраэдра, в котором от каждого из шести ребер тетраэдра «торчит» наружу по одному остатку карбоновой кислоты (рис. 1.65).
Соединим мысленно линиями те атомы углерода, от которых «торчат» наружу блоки – остатки карбоновой кислоты. Таких атомов шесть, в итоге получим шестивершинный многогранник, у него восемь граней, потому он называется октаэдром, а внутри его остался «цинковый «тетраэдр. Самое важное, что блоки, отходящие от шести вершин октаэдра, оказываются направленными по трем осям декартовых координат (рис. 1.66).
Это центральный момент в замысле Омара Яги, который, конечно, знал об особенностях строения цинковых солей карбоновых кислот: во многих учебниках сказано, что ацетат цинка при нагревании образует именно такую структуру октаэдра. Яги понял, что с помощью ионов двухвалентного Zn можно создать реакционный узел с шестью фрагментами, расположенными по осям декартовых координат. По существу, это центр, отталкиваясь от которого можно построить пространственную решетку: достаточно заменить в исходной реакции карбоновую кислоту на дикарбоновую (с двумя карбоксильными группами), и в результате октаэдры можно будет соединить между собой в трех измерениях.

Обратите внимание, Яги выбрал те из дикарбоновых кислот, молекулы которых представляют собой жесткие палочки, собранные из бензольных ядер. Основная цель – создать из них жесткие недеформирующиеся ячейки. При этом размер ячейки зависит от «длины» дикарбоновой кислоты. Таким образом, он предложил простой и удобный способ изменять размер ячейки. На рисунке 1.67 показаны только одиночные ячейки, которые в реальности соединены между собой в крупную объемную структуру.
В природных цеолитах внутренние каналы изолированы друг от друга алюмосиликатными стенками, а в полученных металлорганических каркасах таких стенок нет и пространство каждой ячейки сообщается с соседними, что обеспечивает большой внутренний объем – поры в таком веществе составляют свыше 90 % объема. Понятно, что и плотность у такого материала необычайно низкая – 0,2–0,4 г/см 3.
Искусственные структуры заметно превзошли природные, они могут, например, поглощать и удерживать втрое больший объем метана, чем алюмосиликатные цеолиты. Чтобы метан удерживался в ячейке, необходимо сделать каркас «привлекательным» для газа. Этого можно добиться, введя в структуру исходных дикарбоновых кислот углеводородные «хвосты» в виде групп – ОС 3Н 7или – ОС 5Н 9. Такие каркасы вообще легко модифицировать, присоединяя к бензольным ядрам в исходных дикарбоновых кислотах различные полярные группы (например, – Br, – NH 2и др.), что заметно изменяет химическую природу ячеек и, следовательно, их адсорбционные («удерживающие») свойства.
Омар Яги провел по-настоящему масштабные исследования, он использовал несколько десятков различных дикарбоновых кислот, а в качестве исходных неорганических солей помимо Zn также соединения Cu и Mn. Оказалось, что такие соединения остаются долгое время стабильными в воде или органических растворителях и не разлагаются при высокой температуре, что позволяет использовать их в качестве различных поглотителей (например, в сильно нагревающихся энергетических установках). Яги предложил назвать соединения такого типа металлорганическими решетками (metal-organic frameworks, MOF).

Разработанный метод позволяет создавать практически неограниченное количество решеток. Омар Яги вместо дикарбоновых кислот использовал соединение, содержащее фрагмент борной кислоты. Они тоже могут служить разветвляющими центрами наряду с цинксодержащими узлами (рис. 1.68).

Такие структуры Яги назвал сверхпористыми MOF, поскольку 1 г такого вещества способен удерживать 2500 мл азота (или СО2), или 250 мл метана, или 100 мл водорода.
Фантазия Омара Яги на этом не остановилась, и он создал решетку без атомов металла, собранную из легких атомов Н, В, С, О. Поскольку каркас в этом случае образован только с помощью ковалентных связей (без координационных), он предложил назвать их ковалентными органическими решетками (covalent organic frameworks, COF).
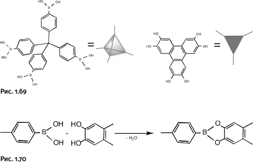
Один из примеров приведен на рисунке 1.69. Исходное соединение – разветвленная молекула с четырьмя фенильными группами, наружу выступают остатки борной кислоты. Вся молекула условно обозначена тетраэдром. Второй компонент – разветвленная ароматическая молекула, содержащая группы – OH у бензольных ядер (она обозначена треугольником).
Взаимодействие проходит между группами – OH бора и фенильных групп (рис. 1.70).

При взаимодействии трех молекул-тетраэдров с треугольником образуется разветвляющий узел – паукообразная молекула (рис. 1.71).

Затем такие узлы объединяются, образуя объемную решетку (рис. 1.72).

Вещества подобного типа стабильны до 400°, а из-за того, что отсутствуют тяжелые атомы металлов, плотность решетки рекордно низкая – до 0,17 г/см 3. Такие вещества «легче» одного из самых «воздушных» материалов – вспененного полиэтилена, плотность которого 0, 3–0,4 г/см 3, только газы имеют меньшую плотность.
Можно предположить, что Яги решил также отдать «дань уважения» природным цеолитам, с которых и начинались поиски. Он синтезировал структуры с цилиндрическими каналами, как у обычных цеолитов, но вместо дикарбоновых кислот (жестких прямых палочек) использовал азотсодержащие соединения – имидазолы (рис. 1.73).
Форма молекул имидазолов позволила «свернуть» образующиеся решетки в цилиндры (рис. 1.74).
Читать дальшеИнтервал:
Закладка: