Алексей Лосев - Хаос и структура

Тут можно читать онлайн Алексей Лосев - Хаос и структура - бесплатно полную версию книги (целиком) без сокращений. Жанр: Математика, год 1993. Здесь Вы можете читать полную версию (весь текст) онлайн без регистрации и SMS на сайте лучшей интернет библиотеки ЛибКинг или прочесть краткое содержание (суть), предисловие и аннотацию. Так же сможете купить и скачать торрент в электронном формате fb2, найти и слушать аудиокнигу на русском языке или узнать сколько частей в серии и всего страниц в публикации. Читателям доступно смотреть обложку, картинки, описание и отзывы (комментарии) о произведении.
  • Название:
    Хаос и структура
  • Автор:
  • Жанр:
  • Издательство:
    неизвестно
  • Год:
    1993
  • Город:
    Москва
  • ISBN:
    нет данных
  • Рейтинг:
    4.63/5. Голосов: 81
  • Избранное:
    Добавить в избранное
  • Отзывы:
  • Ваша оценка:
    • 100
    • 1
    • 2
    • 3
    • 4
    • 5

Алексей Лосев - Хаос и структура краткое содержание

Хаос и структура - описание и краткое содержание, автор Алексей Лосев, читайте бесплатно онлайн на сайте электронной библиотеки LibKing.Ru

"Все философско–математические и логические исследования, представленные в данном томе, созданы в 30—40–х годах, и ни одно из них не знало печатного станка при жизни автора. Работа, проделанная им на отрезке жизни вплоть до фатальной «Диалектики мифа», позволяла с уверенностью определять «трех китов», несущих, по Лосеву, весь груз мироустройства, — Имя, Миф, Число.

"Содержание тома можно условно разделить на две части. Первая посвящена философским вопросам математики и представлена книгой «Диалектические основы математики», вторая—философским вопросам логики, и ее образуют работы «О методе бесконечно–малых в логике» и «Некоторые элементарные размышления о логических основах исчисления бесконечно–малых». Завершает том небольшой фрагмент «Математика и диалектика». Работы второй части, безусловно представляя самостоятельный интерес, в то же время определенным образом восполняют утрату тех разделов «Диалектических основ математики», где должна была трактоваться содержательная сторона дифференциального и интегрального исчислений."

Хаос и структура - читать онлайн бесплатно полную версию (весь текст целиком)

Хаос и структура - читать книгу онлайн бесплатно, автор Алексей Лосев
Тёмная тема
Сбросить

Интервал:

Закладка:

Сделать

Да, это именно и произошло в XVII веке, когда появилось дифференциальное и интегральное исчисление, основанное как раз на анализе функций бесконечно–малых приращений независимого переменного. Математический анализ и есть это объединение учения о функциях с учением о бесконечно–малом. И тут перед нами начнут вырисовываться уже конкретные контуры этой замечательной науки.

Чтобы закрепить достигнутое нами понятие функции (на пороге исследования самого математического анализа) в виде обычной диалектической тройственности принципов, скажем так.

Переменное, взятое безотносительно и самостоятельно, переменное в себе есть независимое переменное. В математике его называют аргументом и обозначают через х.

Переменное, взятое как противоположность независимому переменному, есть зависимое переменное и обозначается через у. Этот у указывает на то, что есть какая–то зависимость между ним и х.

Но это ведь есть не только какая–то зависимость или зависимость вообще, но и конкретная форма зависимости. Иначе и быть не может. Поскольку независимое переменное есть нечто определенное, постольку, входя в объединение с зависимостью от него другого, переменного и осуществляясь в качестве именно аргумента, оно должно и абстрактную зависимость превратить· в такую же определенную и конкретную зависимость. Это–то и есть функция в собственном смысле слова и обозначается в математическом анализе так:

y=ƒ(x)

Чтобы перейти теперь к исследованию форм объединения понятий функции и бесконечно–малого, вспомним, чтобы не сбиться, еще раз диалектическую последовательность наших мыслей. Сначала мы обследовали величину как таковую. Сюда вошло учение как о непосредственно–значащих величинах — арифметических, — так и учение об опосредствовании этих величин в форме непрерывности, прерывности и предела. Это обобщение учения о величине завершилось синтезом числа как непосредственного и как опосредствованного бытия—в форме учения о бесконечно–малом. Теперь все рассуждение о понятии функции заставило нас совсем покинуть область величин и непосредственных, и опосредствованных, и синтетических и перейти в противоположную область—отношений между величинами (а не самих величин), в область функциональных отношений.

Естественно возникает потребность объединить эти две области— величин (чисел) и функций. Тут–то и возникают понятия производной, дифференциала и интеграла.

7. Производная. Итак, отныне мы находимся всецело в области функций. Кроме того, эти функции мы пополняем содержанием, основанным на понятии бесконечно–малого. Следовательно, имеется независимое переменное, погруженное [227] В рукописи: погружение. в стихию бесконечно–малого становления, и имеется зависимое от него переменное, тоже, очевидно, как–то связанное с процессом бесконечно малого становления. И возникает вопрос: что же делается с этим зависимым переменным, с функцией, и какую форму принимает это отношение аргумента к функции. Когда берется функция y=ƒ(x) то ясно, в каком отношении находятся χ и Пусть имеется у=х 2+1: ясно, что нужно сделать с jc, чтобы получить у. Но вот χ ушел в становление, погрузился в бесконечный процесс стремления, ушел в бесконечную даль, и—спрашивается: что же сделается с зависимым от него у, в каком положении очутится этот становящийся χ к становящемуся у? С самого начала ясно, что это будет совершенно иным отношением, чем то отношение, в котором находились между собой хну, когда они покоились на месте, были просто арифметическими и алгебраическими величинами и не погружались в стихию алогического становления. Рассмотрим теперь, что же это за отношение и что тут нового по сравнению со статическим значением величин.

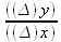
Итак, изменяется аргумент, изменяется в зависимости от него и функция. Употребляя традиционные обозначения математического анализа, мы получим следующее. Если x —аргумент, ∆х будет приращением аргумента x. В зависимости от этого функция у тоже будет нарастать; обозначим приращение функции через ∆у. Чтобы узнать, какой вид примет наращение функции, возьмем приращенную функцию ƒ(x+∆x) и вычтем из нее первоначальную функцию y=ƒ(x). Получаем: ƒ(x+∆x) — ƒ(x). Это есть то наращение, которое происходит в функции, когда получается наращение аргумента ∆х Следовательно, если

y=ƒ(x)

ТО

∆y=ƒ(x+∆x) — ƒ(x)

и, беря отношение обеих частей этого равенства к Δχ, мы получаем

Хаос и структура - изображение 61

Это и есть математческое выражение того нового отношения, в которое вступают χ и у, когда они берутся не сами по себе, не статически, но когда они погружаются в процесс становления, т. е. начинают нарастать или убывать. Это рассуждение (и обозначение) обычно еще не вполне достаточно, и требуется его существенно дополнить в одном пункте.

Именно, нас ведь интересуют не приращения вообще, но бесконечно–малые приращения и не процесс вообще, но именно алогическое становление. Мы раньше уже видели, что в понятии бесконечно–малого дано не просто изменение величины, но изменение самого изменения, становление изменения, почему оно не просто налично тут как таковое, но оно дает все меньшие и меньшие результаты, оно все меньше и меньше оказывается изменением. Сама категория изменения тут, очевидно, вовлечена в становление.

И только при этом условии переменная величина может быть бесконечно–малой. Она должна иметь своим пределом нуль—только тогда она действительно бесконечно мала.

Применяя это к нашему рассуждению, мы должны ∆х считать бесконечно–малым. ∆х должно стремиться к нулю, оно должно иметь своим пределом нуль. Но тогда существенно меняется вся картина выставленного выше отношения картинка 62. Именно, Ах становится все меньше и меньше. Соответственно и Δу должно становиться все меньше и меньше. Чтобы конкретно представить себе новые значения аргумента χ в связи с уменьшающимся приращением ∆х, вычислим соответственно новые значения функции, уменьшающиеся приращения функции, а также и отношение картинка 63мы получим примерно след. табличку.

картинка 64
Начальное значение X Новое значение Приращ. Δy ННачальное значение У Новое Приращ. Δ у
X значение
у
3 4 1 10 17 1 7
3,9 0,9 16,21 6,21 6,9
3,8 0,8 15,44 5,44 6,8
3,7 0,7 14,69 4,69 6,7
3,6 0,6 13,90 3,90 6,5
3,001 0,001 10,006001 0,006001 6,001

Пусть у нас имеется функция

Читать дальше
Тёмная тема
Сбросить

Интервал:

Закладка:

Сделать


Алексей Лосев читать все книги автора по порядку

Алексей Лосев - все книги автора в одном месте читать по порядку полные версии на сайте онлайн библиотеки LibKing.




Хаос и структура отзывы


Отзывы читателей о книге Хаос и структура, автор: Алексей Лосев. Читайте комментарии и мнения людей о произведении.


Понравилась книга? Поделитесь впечатлениями - оставьте Ваш отзыв или расскажите друзьям

Напишите свой комментарий