Яков Перельман - Математика для любознательных

Тут можно читать онлайн Яков Перельман - Математика для любознательных - бесплатно ознакомительный отрывок. Жанр: Математика, издательство РИМИС, год 2008. Здесь Вы можете читать ознакомительный отрывок из книги онлайн без регистрации и SMS на сайте лучшей интернет библиотеки ЛибКинг или прочесть краткое содержание (суть), предисловие и аннотацию. Так же сможете купить и скачать торрент в электронном формате fb2, найти и слушать аудиокнигу на русском языке или узнать сколько частей в серии и всего страниц в публикации. Читателям доступно смотреть обложку, картинки, описание и отзывы (комментарии) о произведении.

Яков Перельман - Математика для любознательных краткое содержание

Математика для любознательных - описание и краткое содержание, автор Яков Перельман, читайте бесплатно онлайн на сайте электронной библиотеки LibKing.Ru

Эта книга основателя жанра научно-занимательной литературы, российского ученого Я. И. Перельмана объединяет в себе две работы автора: «Занимательная математика» и «Занимательная арифметика». Она ставит целью привить своему читателю вкус к изучению математики, вызвать у него интерес к самостоятельным творческим занятиям и приобщает к миру научных знаний.

Книга содержит увлекательные рассказы-задачи с необычными сюжетами на математические темы, любопытными примерами из повседневной жизни, головоломки, шуточные вопросы и опыты - и все это через игру, легко и непринужденно.

Постановка задач, их арифметические и логические методы решений и вытекающие из решений выводы вызовут интерес не только у юных начинающих математиков, знакомых лишь с элементами арифметики, но и у хорошо разбирающихся в математике читателей.

Авторская стилистика письма соответствует 20-м годам двадцатого века и сохранена без изменений.

Математика для любознательных - читать онлайн бесплатно ознакомительный отрывок

Математика для любознательных - читать книгу онлайн бесплатно (ознакомительный отрывок), автор Яков Перельман
Тёмная тема
Сбросить

Интервал:

Закладка:

Сделать
Восстановив истинный смысл чисел записки мы видим что в ней никаких - фото 86

Восстановив истинный смысл чисел записки, мы видим, что в ней никаких противоречий нет.

Я окончил курс 24 лет от роду. Спустя год, 25-летним молодым человеком, я женился на 19-летней девушке. Незначительная разница в возрасте - всего 6 лет - способствовала тому, что мы жили общими интересами и мечтами. Спустя немного лет у меня была уже и маленькая семья из 5 детей. Жалованья я получал 50 рублей, из которых 1/ 5приходилось отдавать сестре, так что мы с детьми жили на 40 рублей».

Трудно ли изображать числа в других системах счисления? Нисколько. Положим, вы желаете число 119 изобразить в пятиричной системе. Делите 119 на 5, чтобы узнать, сколько в нем единиц первого разряда:

119: 5 = 23, остаток 4.

Значит, число простых единиц будет 4. Далее, 23 пятерки не могут стоять все во втором разряде, так как высшая цифра в пятиричной системе - 4, и больше 4 единиц ни в одном разряде быть не должно. Делим поэтому 23 на 5:

23: 5 = 4, остаток 3.

Это показывает, что во втором разряде («пятерок») будет цифра 3, а в третьем («двадцатипятерок») - 4.

Итак, 119 = 4 x 25 + 3 x 5 + 4, или в пятиричной системе «434».

Сделанные действия для удобства располагают так:

Математика для любознательных - изображение 87

Курсивные цифры (при письме можно их подчеркивать) выписывают справа налево, и сразу получают искомое изображение числа в иной системе.

Приведем еще примеры.

Задача № 10

Изобразить 47 в третичной системе:

Решение
Ответ 1202 Поверка 1 x 27 2 x 9 0 x 9 2 47 Задача 11 Число 200 - фото 88

Ответ: «1202». Поверка: 1 x 27 + 2 x 9 + 0 x 9 + 2 = 47.

Задача № 11

Число 200 изобразить в семиричной системе.

Решение
Математика для любознательных - изображение 89

Ответ: «404». Поверка: 4 x 49 + 0 x 7 + 4 = 200.

Задача № 12

Число 163 изобразить в 12-ричной системе.

Решение
Математика для любознательных - изображение 90

Ответ: «117». Поверка: 1 x 144 + 1 x 12 + 7 = 163.

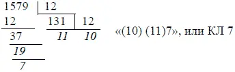
Думаем, что теперь читатель не затруднится изобразить любое число в какой угодно системе счисления. Единственная помеха может возникнуть лишь вследствие того, что в некоторых случаях не будет доставать изображений для цифр. В самом деле: при изображении числа в системах с основанием более десяти (например в двенадцатиричной) может явиться надобность в цифрах «десять» и «одиннадцать». Из этого затруднения нетрудно выйти, избрав для этих новых цифр какие-нибудь условные знаки или буквы, - хоты бы, например, буквы К и Л, стоящие в русском алфавите на 10-м и 11-м месте. Так, число 1579 в двенадцатиричной системе изобразится следующим образом:

Поверка 10 x 144 11 x 12 7 1579 Задача 13 Выразить число 1926 в - фото 91

Поверка: 10 x 144 + 11 x 12 + 7 = 1579.

Задача № 13

Выразить число 1926 в двенадцатиричной системе [60].

Задача № 14

Выразить число 273 в двадцатиричной системе [61].

Простейшая система счисления

Вообще нетрудно сообразить, что в каждой системе высшая цифра, какая может понадобиться, равна основанию этой системы без единицы. Например, в 10-ичной системе высшая цифра 9, в 6-ричной - 5, в троичной - 2, в 15-ричной - 14, и т. д.

Самая простая система счисления, конечно, та, для которой требуется меньше всего цифр. В десятичной системе нужны 10 цифр (считая и 0), в пятиричной - 5 цифр, в троичной - 3 цифры (1, 2 и 0), в двоичной - только 2 цифры (1 и 0). Существует ли и «единичная» система? Конечно: это система, в которой единицы высшего разряда в один раз больше единицы низшего, т е. равны ей; другими словами, «единичной» можно назвать такую систему, в которой единицы всех разрядов имеют одинаковое значение. Это самая примитивная «система»; ею пользуется первобытный человек, делая на дереве зарубки по числу сосчитываемых предметов. Но между нею и всеми другими системами счета есть громадная разница: она лишена главного преимущества нашей нумерации - так называемого поместного значения цифр. Действительно: в «единичной» системе знак, стоящий на 3-м или 5-м месте, имеет то же значение, что и стоящий на первом месте. Между тем даже в двоичной системе единица на 3-м месте (справа) уже в 4 раза (2 x 2) больше, чем на первом, а на 5-м - в 16 раз больше (2 x 2 x 2 x 2). Поэтому система «единичная» дает очень мало выгоды, так как для изображения какого-нибудь числа по этой системе нужно ровно столько же знаков, сколько было сосчитано предметов: чтобы записать сто предметов нужно сто знаков, в двоичной же - только семь («1100100»), а в пятиричной - всего три («400»).

Вот почему «единичную» систему едва ли можно назвать «системой»; по крайней мере, ее нельзя поставить рядом с остальными, так как она принципиально от них отличается, не давая никакой экономии в изображении чисел. Если же ее откинуть, то простейшей системой счисления нужно признать систему двоичную, в которой употребляются всего две цифры: 1 и 0. При помощи 1-цы и 0 можно изобразить все бесконечное множество чисел! На практике система эта мало удобна - получаются слишком длинные числа [62]; но теоретически она имеет все права считаться простейшей. Она обладает некоторыми любопытными особенностями, присущими только ей одной; особенностями этими, между прочим, можно воспользоваться для выполнения ряда эффектных математических фокусов, о которых мы скоро побеседуем подробно в главе «Фокусы без обмана».

Необычайная арифметика

Задача № 15

К арифметическим действиям мы привыкли настолько, что выполняем их автоматически, почти не думая о том, что мы делаем. Но те же действия потребуют от нас немалого напряжения, если мы пожелаем применить их к числам, написанным не по десятичной системе. Попробуйте, например, выполнить сложение следующих двух чисел, написанных по пятиричной системе:

Решение Складываем по разрядам начиная с единиц т е справа 3 2 равно - фото 92
Решение

Складываем по разрядам, начиная с единиц, т. е. справа: 3 + 2 равно пяти; но мы не можем записать 5, потому что такой цифры в пятиричной системе не существует: пять есть уже единица высшего разряда. Значит, в сумме вовсе нет единиц; пишем 0, а пять, т. е. 1-цу следующего разряда, удерживаем в уме. Далее, 0 + 3 = 3, да еще 1-ца, удержанная в уме, - всего 4 единицы второго разряда. В третьем разряде получаем 2 + 1 = 3. В четвертом 4 + 2 равно шести, т. е. 5 + 1; пишем 1, а 5, т. е. 1-цу высшего разряда, относим далее влево. Искомая сумма - 11340.

Предоставляем читателю проверить это сложение предварительно переведя - фото 93

Предоставляем читателю проверить это сложение, предварительно переведя изображенные в кавычках числа в 10-ичную систему и выполнив то же действие.

Читать дальше
Тёмная тема
Сбросить

Интервал:

Закладка:

Сделать


Яков Перельман читать все книги автора по порядку

Яков Перельман - все книги автора в одном месте читать по порядку полные версии на сайте онлайн библиотеки LibKing.




Математика для любознательных отзывы


Отзывы читателей о книге Математика для любознательных, автор: Яков Перельман. Читайте комментарии и мнения людей о произведении.


Понравилась книга? Поделитесь впечатлениями - оставьте Ваш отзыв или расскажите друзьям

Напишите свой комментарий
x