Брайан Грин - Ткань космоса. Пространство, время и текстура реальности

Тут можно читать онлайн Брайан Грин - Ткань космоса. Пространство, время и текстура реальности - бесплатно полную версию книги (целиком) без сокращений. Жанр: sci-phys, издательство Книжный дом «ЛИБРОКОМ», год 2009. Здесь Вы можете читать полную версию (весь текст) онлайн без регистрации и SMS на сайте лучшей интернет библиотеки ЛибКинг или прочесть краткое содержание (суть), предисловие и аннотацию. Так же сможете купить и скачать торрент в электронном формате fb2, найти и слушать аудиокнигу на русском языке или узнать сколько частей в серии и всего страниц в публикации. Читателям доступно смотреть обложку, картинки, описание и отзывы (комментарии) о произведении.
  • Название:
    Ткань космоса. Пространство, время и текстура реальности
  • Автор:
  • Жанр:
  • Издательство:
    Книжный дом «ЛИБРОКОМ»
  • Год:
    2009
  • Город:
    Москва
  • ISBN:
    978-5-397-00001-7
  • Рейтинг:
    5/5. Голосов: 11
  • Избранное:
    Добавить в избранное
  • Отзывы:
  • Ваша оценка:
    • 100
    • 1
    • 2
    • 3
    • 4
    • 5

Брайан Грин - Ткань космоса. Пространство, время и текстура реальности краткое содержание

Ткань космоса. Пространство, время и текстура реальности - описание и краткое содержание, автор Брайан Грин, читайте бесплатно онлайн на сайте электронной библиотеки LibKing.Ru
Брайан Грин — один из ведущих физиков современности, автор «Элегантной Вселенной» — приглашает нас в очередное удивительное путешествие вглубь мироздания, которое поможет нам взглянуть в совершенно ином ракурсе на окружающую нас действительность.
В книге рассматриваются фундаментальные вопросы, касающиеся классической физики, квантовой механики и космологии. Что есть пространство? Почему время имеет направление? Возможно ли путешествие в прошлое? Какую роль играют симметрия и энтропия в эволюции космоса? Что скрывается за тёмной материей? Может ли Вселенная существовать без пространства и времени?
Грин детально рассматривает картину мира Ньютона, идеи Маха, теорию относительности Эйнштейна и анализирует её противоречия с квантовой механикой. В книге обсуждаются проблемы декогеренции и телепортации в квантовой механике. Анализируются многие моменты инфляционной модели Вселенной, первые доли секунды после Большого взрыва, проблема горизонта, образование галактик. Большое внимание уделено новому современному подходу к объяснению картины мира с помощью теории струн/М-теории.
Грин показывает, что наш мир сильно отличается от того, к чему нас приучил здравый смысл. Автор увлекает всех нас, невзирая на уровень образования и научной подготовки, в познавательное путешествие к новым пластам реальности, которые современная физика вскрывает под слоем привычного нам мира.

Ткань космоса. Пространство, время и текстура реальности - читать онлайн бесплатно полную версию (весь текст целиком)

Ткань космоса. Пространство, время и текстура реальности - читать книгу онлайн бесплатно, автор Брайан Грин
Тёмная тема
Сбросить

Интервал:

Закладка:

Сделать

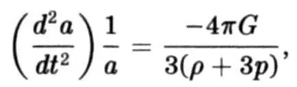
Для склонного к математике читателя следует заметить, что нетрудно увидеть, как возникает ускоренное расширение. Одно из уравнений Эйнштейна есть

где a ρ и p есть масштабный фактор Вселенной её размер плотность энергии - фото 158

где a , ρ и p есть масштабный фактор Вселенной (её «размер»), плотность энергии и давление соответственно. Заметим, что если правая сторона этого уравнения положительна, масштабный фактор будет расти с возрастающим темпом: скорость роста Вселенной будет увеличиваться со временем. Для поля Хиггса, застрявшего на плато, его давление оказывается равным плотности его энергии со знаком минус (то же самое справедливо для космологической постоянной), так что правая сторона и в самом деле положительна.

133

Физика, лежащая в основе этих квантовых скачков, есть принцип неопределённости, затронутый в главе 4. Я буду явно обсуждать применение квантовой неопределённости к полям в главах 11 и 12, но, забегая вперёд, коротко отмечу следующее. Величина поля в данной точке пространства и скорость изменения величины поля в этой точке играют для полей такую же роль, какую для частиц играет положение и скорость (импульс). Таким образом, точно так же, как мы никогда не можем знать сразу определённое положение и определённую скорость частицы, поле не может иметь определённую величину и определённую скорость изменения этой величины в любой данной точке пространства. Чем более точно определена величина поля в данный момент времени, тем более неопределённа скорость его изменения — это означает, что тем более вероятно, что величина поля изменится моментом позже. И такое изменение, индуцированное квантовой неопределённостью, это то, что я имею в виду, когда говорю о квантовых скачках величины поля.

134

Вклад Линде и Альбрехта со Стейнхардтом был безусловно критически важным, поскольку оригинальная модель Гута — сейчас называемая старой инфляцией — страдала фатальным пороком. Вспомним, что переохлаждённое поле Хиггса (или в терминологии, которую мы вскоре введём, поле инфлатона ) имеет величину, которая удерживается на выпуклости его энергетической чаши однородно во всём пространстве. Поэтому, когда я описывал, как быстро переохлаждённое поле инфлатона могло бы соскочить к значению, соответствующему наинизшей энергии, нам надо было бы спросить, произойдёт ли этот квантовый скачок везде в пространстве в одно и то же время. А ответ состоит в том, что нет, не произойдёт. Вместо этого, как объяснял Гут, релаксация поля инфлатона к нулевой величине энергии происходит через образование отдельных пузырьков: сначала инфлатон соскакивает к значению поля с нулевой величиной энергии в одной точке пространства, и от этой точки начинает расти пузырёк, стенки которого двигаются со скоростью света и в котором поле инфлатона спадает к нулевой величине энергии по мере продвижения стенки пузырька. Гут представил, что множество таких пузырьков со случайно расположенными центрами в конце концов сольются, что даст Вселенную с нулевой энергией поля инфлатона везде. Однако, как это понимал и сам Гут, проблема в том, что окружающее пузырьки пространство всё ещё заполнено полем инфлатона с ненулевой энергией, так что такие области по-прежнему будут подвержены быстрому инфляционному расширению, которое будет растаскивать пузырьки друг от друга. Поэтому нет гарантии, что растущие пузырьки найдут друг друга и сольются в однородное пространство. Более того, Гут утверждал, что когда поле инфлатона релаксирует к нулевой энергии, энергия поля не теряется, а переходит в обычные частицы материи и излучения, заполняющие Вселенную. Однако чтобы довести модель до соответствия с наблюдениями, это превращение должно было бы давать однородное распределение материи и энергии во всём пространстве. В механизме, который предложил Гут, это превращение должно было бы происходить через столкновения стенок пузырьков, но расчёты, проведённые Гутом и Эриком Вайнбергом из Колумбийского университета, а также Стивеном Хокингом, Ианом Моссом и Джоном Стюардом из Кембриджского университета, показали, что итоговое распределение материи и энергии получается не однородным. Таким образом, оригинальная инфляционная модель Гута привела к существенным проблемам в деталях.

Идеи Линде и Альбрехта со Стейнхардтом — теперь называемые новой инфляцией — решили эти досадные проблемы. Заменив форму чаши потенциальной энергии на ту, что показана на рис. 10.2, эти исследователи обнаружили, что инфлатон мог бы релаксировать к значению, соответствующему нулевой энергии, постепенно плавно «скатываясь» с энергетического холма в жёлоб, что не требует квантового скачка, как в оригинальном предложении. И, как показали их расчёты, это несколько более плавное скатывание позволяет инфляционному раздуванию пространства продолжаться достаточно долго, чтобы один отдельный пузырёк легко вырос до таких размеров, чтобы заключить в себе всю наблюдаемую Вселенную. Таким образом, в этом подходе не нужно беспокоиться о слиянии пузырьков. Также важно, что вместо превращения энергии поля инфлатона в обычные частицы и излучения при столкновениях пузырьков, в новом подходе инфлатон реализует это превращение энергии постепенно и однородно во всём пространстве, в процессе, напоминающем трение: по мере того как поле скатывается с энергетического холма — однородно в пространстве, — оно передаёт свою энергию путём «трения» о более привычные поля частиц и излучения (взаимодействуя с ними). Новая инфляция, таким образом, сохраняет все успехи подхода Гута, но оказывается способной решить существенные проблемы, с которыми тот столкнулся.

Примерно через год после большого прогресса, связанного с новой инфляцией, Андрей Линде совершил новый прорыв. Для того чтобы механизм новой инфляции работал, нужно, чтобы одновременно выполнялся ряд ключевых условий: чаша потенциальной энергии должна иметь правильную форму, величина поля инфлатона должна находиться изначально на выпуклости чаши (и, несколько более технический момент, сама величина поля инфлатона должна быть однородна в достаточно большой пространственной области). Хотя в принципе возможно, чтобы Вселенная как-то оказалась в таких условиях, Линде нашёл способ генерации инфляционного взрыва более простым и много более естественным способом. Линде показал, что даже для простой чаши потенциальной энергии, такой как на рис. 9.1 а , и даже без точной настройки начальной величины поля инфлатона инфляция всё же легко может иметь место. Идея такова. Представьте, что в очень ранней Вселенной всё было «хаотическим», — например, представьте, что имелось поле инфлатона, величина которого хаотически скакала от одного значения к другому. В некоторых местах в пространстве его величина могла быть малой, в других местах его величина была средней, а ещё в других местах в пространстве его величина могла быть высокой. В местах, где величина поля была малой или средней, ничего особенно достойного внимания не происходило. Но Линде понял, что нечто потрясающе интересное могло бы иметь место в областях, где полю инфлатона случилось достичь большой величины (даже если область была совсем ничтожной, всего 10 −33см в поперечнике). Когда величина поля инфлатона велика — когда поле находится высоко в энергетической чаше на рис. 9.1 а , — начинает работать некая разновидность космического трения: поле пытается скатиться к более низкой потенциальной энергии, но его большая величина вызывает тормозящую силу трения, так что поле скатывается очень медленно. Таким образом, величина поля инфлатона должна была оставаться примерно постоянной и (примерно как инфлатон на вершине холма потенциальной энергии в новой инфляции) поле должно было давать примерно постоянный вклад в энергию и в отрицательное давление. И, как мы уже знаем, это те условия, которые требуются, чтобы вызвать взрыв инфляционного расширения. Таким образом, не используя специальную форму энергетической чаши и не требуя специальной конфигурации для поля инфлатона, хаотическая среда ранней Вселенной могла бы естественным образом вызвать инфляционное расширение. Неудивительно, что Линде назвал этот подход хаотической инфляцией . Многие физики рассматривают его как наиболее убедительную реализацию инфляционной парадигмы.

Читать дальше
Тёмная тема
Сбросить

Интервал:

Закладка:

Сделать


Брайан Грин читать все книги автора по порядку

Брайан Грин - все книги автора в одном месте читать по порядку полные версии на сайте онлайн библиотеки LibKing.




Ткань космоса. Пространство, время и текстура реальности отзывы


Отзывы читателей о книге Ткань космоса. Пространство, время и текстура реальности, автор: Брайан Грин. Читайте комментарии и мнения людей о произведении.


Понравилась книга? Поделитесь впечатлениями - оставьте Ваш отзыв или расскажите друзьям

Напишите свой комментарий
x