Ангелина Яковлева - Ответы на экзаменационные билеты по эконометрике

Тут можно читать онлайн Ангелина Яковлева - Ответы на экзаменационные билеты по эконометрике - бесплатно ознакомительный отрывок. Жанр: Справочники, издательство Литагент «Ай Пи Эр Медиа»db29584e-e655-102b-ad6d-529b169bc60e. Здесь Вы можете читать ознакомительный отрывок из книги онлайн без регистрации и SMS на сайте лучшей интернет библиотеки ЛибКинг или прочесть краткое содержание (суть), предисловие и аннотацию. Так же сможете купить и скачать торрент в электронном формате fb2, найти и слушать аудиокнигу на русском языке или узнать сколько частей в серии и всего страниц в публикации. Читателям доступно смотреть обложку, картинки, описание и отзывы (комментарии) о произведении.
  • Название:
    Ответы на экзаменационные билеты по эконометрике
  • Автор:
  • Жанр:
  • Издательство:
    Литагент «Ай Пи Эр Медиа»db29584e-e655-102b-ad6d-529b169bc60e
  • Год:
    неизвестен
  • ISBN:
    нет данных
  • Рейтинг:
    4.5/5. Голосов: 81
  • Избранное:
    Добавить в избранное
  • Отзывы:
  • Ваша оценка:
    • 100
    • 1
    • 2
    • 3
    • 4
    • 5

Ангелина Яковлева - Ответы на экзаменационные билеты по эконометрике краткое содержание

Ответы на экзаменационные билеты по эконометрике - описание и краткое содержание, автор Ангелина Яковлева, читайте бесплатно онлайн на сайте электронной библиотеки LibKing.Ru

Настоящее издание представляет собой учебное пособие и подготовлено в соответствии с государственным образовательным стандартом. Пособие составлено в виде ответов на экзаменационные билеты по дисциплине «Эконометрика».

Данное издание написано доступным языком и содержит всю необходимую информацию, достаточную для ответа на экзамене по данной дисциплине и успешной его сдачи.

Настоящие пособие предназначено для студентов высших и средних специальных учебных заведений.

Ответы на экзаменационные билеты по эконометрике - читать онлайн бесплатно ознакомительный отрывок

Ответы на экзаменационные билеты по эконометрике - читать книгу онлайн бесплатно (ознакомительный отрывок), автор Ангелина Яковлева
Тёмная тема
Сбросить

Интервал:

Закладка:

Сделать

Если наблюдаемое значение F-критерия (вычисленное по выборочным данным) меньше или равно критического значения F-критерия (определённого по таблице распределения Фишера-Снедекора), т.е. Fнабл

Коэффициент детерминации может быть рассчитан не только как квадрат линейного коэффициента парной корреляции или через теорему о разложении общей дисперсии результативной переменной на составляющие, но и через теорему о разложении сумм квадратов результативной переменной.

Теорема. Сумма квадратов разностей между значениями результативной переменной и её средним значением по выборочной совокупности может быть представлена следующим образом:

Ответы на экзаменационные билеты по эконометрике - изображение 206

где

Ответы на экзаменационные билеты по эконометрике - изображение 207

– общая сумма квадратов (Total Sum Square – TSS);

сумма квадратов остатков Error Sum Square ESS сумма квадратов - фото 208

– сумма квадратов остатков (Error Sum Square – ESS);

сумма квадратов объяснённой регрессии Regression Sum Square RSS - фото 209

– сумма квадратов объяснённой регрессии (Regression Sum Square – RSS).

Представим данную теорему в векторной форме:

Общую сумму квадратов можно представить следующим образом Если в модель - фото 210

Общую сумму квадратов можно представить следующим образом:

Если в модель регрессии не включается свободный член β0 то данное разложение - фото 211

Если в модель регрессии не включается свободный член β0, то данное разложение также остаётся верным.

Парный коэффициент детерминации может быть рассчитан через теорему о о разложении сумм квадратов результативной переменной по следующим формулам:

или 25 Точечный и интервальный прогнозы для модели парной регрессии Одна из - фото 212

или

25 Точечный и интервальный прогнозы для модели парной регрессии Одна из задач - фото 213

25. Точечный и интервальный прогнозы для модели парной регрессии

Одна из задач эконометрического моделирования заключается в прогнозировании поведения исследуемого явления или процесса в будущем. В большинстве случаев данная задача решается на основе регрессионных моделей, с помощью которых можно спрогнозировать поведение результативной переменной в зависимости от поведения факторных переменных.

Рассмотрим подробнее процесс прогнозирования для линейной модели парной регрессии.

Точечный прогноз результативной переменной у на основе линейной модели парной регрессии при заданном значении факторной переменной хm будет осуществляться по формуле:

ym=β0+β1xm+εm.

Точечный прогноз результативной переменной ym с доверительной вероятностью γ или (1–а) попадает в интервал прогноза, определяемый как:

ym–t*ω(m)≤ ym≤ ym+t*ω(m),

t – t-критерий Стьюдента, который определяется в зависимости от заданного уровня значимости a и числа степеней свободы (n-2) для линейной модели парной регрессии;

ω(m) – величина ошибки прогноза в точке m.

Для линейной модели парной регрессии величина ошибки прогноза определяется по формуле:

где S2ε несмещённая оценка дисперсии случайной ошибки линейной модели - фото 214

где S2(ε) – несмещённая оценка дисперсии случайной ошибки линейной модели парной регрессии.

Рассмотрим процесс определения величины ошибки прогноза β(m).

Предположим, что на основе выборочных данных была построена линейная модель парной регрессии вида:

Факторная переменная х в данной модели представлена в центрированном виде - фото 215

Факторная переменная х в данной модели представлена в центрированном виде.

Задача состоит в расчёте прогноза результативной переменной у при заданном значении факторной переменной хm, т. е.

Математическое ожидание результативной переменной у в точке m рассчитывается по - фото 216

Математическое ожидание результативной переменной у в точке m рассчитывается по формуле:

Дисперсия результативной переменной у в точке m рассчитывается по формуле где - фото 217

Дисперсия результативной переменной у в точке m рассчитывается по формуле:

где Dβ0 дисперсия оценки параметра β0 линейной модели парной регрессии - фото 218

где D(β0) – дисперсия оценки параметра β0 линейной модели парной регрессии, которая рассчитывается по формуле:

Следовательно точечная оценка прогноза результативной переменной у в точке m - фото 219

Следовательно, точечная оценка прогноза результативной переменной у в точке m имеет нормальный закон распределения с математическим ожиданием

и дисперсией Если в формулу дисперсии результативной переменной у в точке m - фото 220

и дисперсией

Если в формулу дисперсии результативной переменной у в точке m вместо дисперсии - фото 221

Если в формулу дисперсии результативной переменной у в точке m вместо дисперсии G2 подставить её выборочную оценку S2, то получим доверительный интервал для прогноза результативной переменной у при заданном значении факторной переменной хm:

где выборочная оценка генеральной дисперсии S2 для линейной модели парной - фото 222

где выборочная оценка генеральной дисперсии S2 для линейной модели парной регрессии рассчитывается по формуле:

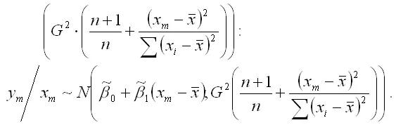
В этом случае прогнозный интервал можно преобразовать к виду что и - фото 223

В этом случае прогнозный интервал можно преобразовать к виду:

что и требовалось доказать 26 Линейная модель множественной регрессии - фото 224

что и требовалось доказать.

26. Линейная модель множественной регрессии

Построение модели множественной регрессииявляется одним из методов характеристики аналитической формы связи между зависимой (результативной) переменной и несколькими независимыми (факторными) переменными.

Модель множественной регрессии строится в том случае, если коэффициент множественной корреляции показал наличие связи между исследуемыми переменными.

Общий вид линейной модели множественной регрессии:

yi=β0+β1x1i+…+βmxmi+εi,

где yi – значение i-ой результативной переменной,

Читать дальше
Тёмная тема
Сбросить

Интервал:

Закладка:

Сделать


Ангелина Яковлева читать все книги автора по порядку

Ангелина Яковлева - все книги автора в одном месте читать по порядку полные версии на сайте онлайн библиотеки LibKing.




Ответы на экзаменационные билеты по эконометрике отзывы


Отзывы читателей о книге Ответы на экзаменационные билеты по эконометрике, автор: Ангелина Яковлева. Читайте комментарии и мнения людей о произведении.


Понравилась книга? Поделитесь впечатлениями - оставьте Ваш отзыв или расскажите друзьям

Напишите свой комментарий
x