Ангелина Яковлева - Ответы на экзаменационные билеты по эконометрике
- Название:Ответы на экзаменационные билеты по эконометрике
- Автор:
- Жанр:
- Издательство:Литагент «Ай Пи Эр Медиа»db29584e-e655-102b-ad6d-529b169bc60e
- Год:неизвестен
- ISBN:нет данных
- Рейтинг:
- Избранное:Добавить в избранное
-
Отзывы:
-
Ваша оценка:
Ангелина Яковлева - Ответы на экзаменационные билеты по эконометрике краткое содержание
Настоящее издание представляет собой учебное пособие и подготовлено в соответствии с государственным образовательным стандартом. Пособие составлено в виде ответов на экзаменационные билеты по дисциплине «Эконометрика».
Данное издание написано доступным языком и содержит всю необходимую информацию, достаточную для ответа на экзамене по данной дисциплине и успешной его сдачи.
Настоящие пособие предназначено для студентов высших и средних специальных учебных заведений.
Ответы на экзаменационные билеты по эконометрике - читать онлайн бесплатно ознакомительный отрывок
Интервал:
Закладка:
Необходимость проверки гипотез о значимости параметров модели вызвана тем, что в дальнейшем построенную модель будут использовать для дальнейших экономических расчётов.
Предположим, что по данным выборочной совокупности была построена линейная модель парной регрессии. Задача состоит в проверке значимости оценок неизвестных коэффициентов модели, полученных методом наименьших квадратов.
Основная гипотеза состоит в предположении о незначимости коэффициентов регрессии, т. е.
Н0:β0=0, или Н0:β1=0.
Обратная или конкурирующая гипотеза состоит в предположении о значимости коэффициентов регрессии, т.е.
Н1:β0≠0, или Н1:β1≠0.
Данные гипотезы проверяются с помощью t-критерия Стьюдента.
Наблюдаемое значение t-критерия (вычисленное на основе выборочных данных) сравнивают со значением t-критерия, которое определяется по таблице распределения Стьюдента и называется критическим.
Критическое значение t-критерия зависит от уровня значимости и числа степеней свободы.
Уровнем значимости а называется величина, которая рассчитывается по формуле:
а=1-γ,
где γ – это доверительная вероятность попадания оцениваемого параметра в доверительный интервал. Значение доверительной вероятности должно быть близким к единице, например, 0.95, 0.99. Следовательно, уровень значимости а можно определить как вероятность того, что оцениваемый параметр не попадёт в доверительный интервал.
Числом степеней свободыназывается показатель, который рассчитывается как разность между объёмом выборочной совокупности n и числом оцениваемых параметров по данной выборке h. Для линейной модели парной регрессии число степеней свободы рассчитывается как (n-2 ), потому что по данным выборочной совокупности оцениваются только два параметра – β0 и β1 .
Таким образом, критическое значение t-критерия Стьюдента определяется как tкрит(а;n-h).
При проверке основной гипотезы вида Н0:β1=0 наблюдаемое значение t-критерия Стьюдента рассчитывается по формуле:


где – оценка параметра модели регрессии β1 ;
ω( β1 ) – величина стандартной ошибки параметра модели регрессии β1 .
Показатель стандартной ошибки параметра модели регрессии β1 для линейной модели парной регрессии рассчитывается по формуле:

Числитель стандартной ошибки может быть рассчитан через парный коэффициент детерминации следующим образом:

где G2(y) – общая дисперсия зависимой переменной;
r2yx – парный коэффициент детерминации между зависимой и независимой переменными.
При проверке основной гипотезы β0=0 наблюдаемое значение t-критерия Стьюдента рассчитывается по формуле:

где

– оценка параметра модели регрессии β0;
ω(β0) – величина стандартной ошибки параметра модели регрессии β0.
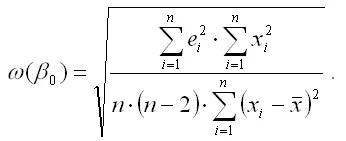
Показатель стандартной ошибки параметра β0 модели регрессии для линейной модели парной регрессии рассчитывается по формуле:

При проверке основных гипотез возможны следующие ситуации:
Если наблюдаемое значение t-критерия (вычисленное по выборочным данным) по модулю больше критического значения t-критерия (определённого по таблице распределения Стьюдента), т. е. |tнабл|›tкрит, то с вероятностью (1-а) или γ основная гипотеза о незначимости параметров модели регрессии отвергается.
Если наблюдаемое значение t-критерия (вычисленное по выборочным данным) по модулю меньше или равно критического значения t-критерия (определённого по таблице распределения Стьюдента), т. е. |tнабл|≤tкрит, то с вероятностью а или (1-γ) основная гипотеза о незначимости параметров модели регрессии принимается.
23. Проверка гипотезы о значимости парного коэффициента корреляции
Предположим, что по данным выборочной совокупности была построена линейная модель парной регрессии. Задача состоит в проверке значимости парного коэффициента корреляции между результативной переменной у и факторной переменной х.
Основная гипотеза состоит в предположении о незначимости парного коэффициента корреляции, т. е.
Н0:rxy=0.
Обратная или конкурирующая гипотеза состоит в предположении о значимости парного коэффициента корреляции, т. е.
Н1:rxy≠0.
Данные гипотезы проверяются с помощью t-критерия Стьюдента.
Наблюдаемое значение t-критерия (вычисленное на основе выборочных данных) сравнивают с критическим значением t-критерия, которое определяется по таблице распределения Стьюдента.
При проверке значимости парного коэффициента корреляции критическое значение t-критерия определяется как tкрит(a;n-h), где а – уровень значимости, (n-h) – число степеней свободы, которое определяется по таблице распределений t-критерия Стьюдента.
При проверке основной гипотезы вида Н0:rxy=0 наблюдаемое значение t-критерия Стьюдента рассчитывается по формуле:

где ryx – выборочный парный коэффициент корреляции между результативной переменной у и факторной переменной х, который рассчитывается по формуле:

ω (ryx) – величина стандартной ошибки парного выборочного коэффициента корреляции.
Показатель стандартной ошибки парного выборочного коэффициента корреляции для линейной модели парной регрессии рассчитывается по формуле:

Если данное выражение подставить в формулу для расчёта наблюдаемого значения t-критерия для проверки гипотезы вида Н0:rxy=0, то получим:

При проверке основной гипотезы возможны следующие ситуации:
Если наблюдаемое значение t-критерия (вычисленное по выборочным данным) по модулю больше критического значения t-критерия (определённого по таблице распределения Стьюдента), т. е.
Читать дальшеИнтервал:
Закладка: