А. Булычев - Релейная защита в распределительных электрических Б90 сетях

Тут можно читать онлайн А. Булычев - Релейная защита в распределительных электрических Б90 сетях - бесплатно полную версию книги (целиком) без сокращений. Жанр: Справочники, издательство ЭНАС, год 2011. Здесь Вы можете читать полную версию (весь текст) онлайн без регистрации и SMS на сайте лучшей интернет библиотеки ЛибКинг или прочесть краткое содержание (суть), предисловие и аннотацию. Так же сможете купить и скачать торрент в электронном формате fb2, найти и слушать аудиокнигу на русском языке или узнать сколько частей в серии и всего страниц в публикации. Читателям доступно смотреть обложку, картинки, описание и отзывы (комментарии) о произведении.
  • Название:
    Релейная защита в распределительных электрических Б90 сетях
  • Автор:
  • Жанр:
  • Издательство:
    ЭНАС
  • Год:
    2011
  • Город:
    Москва
  • ISBN:
    978-5-4248-0006-1
  • Рейтинг:
    4.11/5. Голосов: 91
  • Избранное:
    Добавить в избранное
  • Отзывы:
  • Ваша оценка:
    • 80
    • 1
    • 2
    • 3
    • 4
    • 5

А. Булычев - Релейная защита в распределительных электрических Б90 сетях краткое содержание

Релейная защита в распределительных электрических Б90 сетях - описание и краткое содержание, автор А. Булычев, читайте бесплатно онлайн на сайте электронной библиотеки LibKing.Ru

Кратко изложены основы теории защит, используемых в электрических сетях напряжением 6—35 кВ. Рассмотрены токовые и дифференциальные защиты, устанавливаемые на линиях электропередачи и трансформаторах. Представлены подробно комментированные примеры расчета характеристик релейной защиты и выбора параметров срабатывания отдельных защит. Приведена методика решения комплексной задачи согласования защит в распределительной сети, содержащей взаимосвязанные линии электропередачи, трансформаторы и электрические нагрузки.

Книга предназначена для углубленного изучения теоретических и практических аспектов релейной защиты и может служить практическим пособием при выполнении расчетов параметров эксплуатируемых защит, а также при проектировании новых систем электроснабжения.

Для специалистов проектных организаций и предприятий, эксплуатирующих электрические сети и системы, преподавателей и студентов высших учебных заведений электроэнергетического профиля.

Релейная защита в распределительных электрических Б90 сетях - читать онлайн бесплатно полную версию (весь текст целиком)

Релейная защита в распределительных электрических Б90 сетях - читать книгу онлайн бесплатно, автор А. Булычев
Тёмная тема
Сбросить

Интервал:

Закладка:

Сделать
Треугольник обмотки реле соединяются по схеме звезды а вторичные обмотки - фото 37

Треугольник (обмотки реле соединяются по схеме звезды, а вторичные обмотки трансформаторов тока — по схеме треугольника, рис. 2.11; k CX= √3; схема оперативного тока такая же, как для полной звезды — см. рис. 2.9) используется для защиты трансформаторов 35 кВ и выше.

Защита, выполненная по этой схеме, не действует при внешних однофазных КЗ (в отличие от схемы полной звезды).

На двухобмоточных трансформаторах со схемой соединения обмоток «звезда/треугольник» (Y/Δ) одно из трех реле может быть исключено [5] без ухудшения чувствительности защиты (реле KA2 на рис. 2.11).

Неполный треугольник двухфазная однорелейная схема рис 212 k CX 3 ввиду - фото 38

Неполный треугольник (двухфазная однорелейная схема, рис. 2.12; k CX= √3) ввиду значительных недостатков допустимо использовать только для защиты электродвигателей выше 1 кВ мощностью не более 2 МВт [3, 5]. Этот способ соединения вторичных токовых цепей иногда называют схемой включения реле «на разность токов двух фаз».

24 Трехступенчатые токовые защиты Для того чтобы обеспечить надежную защиту - фото 39

2.4. Трехступенчатые токовые защиты

Для того чтобы обеспечить надежную защиту электрических сетей при повреждениях, часто недостаточно использовать защиту одного вида. Так, токовые отсечки обеспечивают быстрое выявление повреждений, но имеют зоны нечувствительности в конце контролируемого объекта. МТЗ имеют достаточно протяженные зоны действия, но их приходится выполнять с большими выдержками времени срабатывания, особенно на головных участках сетей, где требуется высокое быстродействие. Для того чтобы максимально использовать достоинства защит разных типов, их объединяют в один комплекс.

Наибольшее распространение получили трехступенчатые токовые защиты. В качестве первой ступени используются токовые отсечки мгновенного действия (селективные токовые отсечки). В качестве второй — токовые отсечки с выдержкой времени срабатывания (неселективные токовые отсечки). В качестве третьей ступени — МТЗ.

Трехступенчатые токовые защиты могут быть неполными Например на головной - фото 40

Трехступенчатые токовые защиты могут быть неполными. Например, на головной линии W1 (рис. 2.13), как правило, устанавливаются все ступени защиты. На смежных с головным участком сети линиях (W2) чаще используют только две ступени: первую и третью. На удаленных от источника питания объектах сети (линия W3) обычно достаточно только третьей ступени защиты — МТЗ.

Расчеты целесообразно вести начиная с наиболее удаленной от источника питания линии (W3). Первичный ток срабатывания третьей ступени защиты 3 определяется так:

где I С ЗАП W3и I РАБ МАХ W3 соответственно значение тока самозапуска в - фото 41

где I С ЗАП W3и I РАБ МАХ W3— соответственно значение тока самозапуска в послеаварийном режиме и максимальное значение рабочего тока в линии W3 в нормальном режиме;

k З— коэффициент запаса (для защит, имеющих выдержку времени);

k в— коэффициент возврата;

k С ЗАП W3— коэффициент самозапуска для линии W3.

Выдержка времени срабатывания третьей ступени защиты 3:

где t C3 Н4 максимальное время срабатывания защит нагрузок с которыми третья - фото 42

где t C3 Н4— максимальное время срабатывания защит нагрузок, с которыми третья ступень защиты 3 может иметь общую зону действия;

Δ t — ступень селективности.

Параметры срабатывания МТЗ второй и первой линий определяются аналогично:

Первичный ток срабатывания первой ступени отсечки мгновенного действия второй - фото 43

Первичный ток срабатывания первой ступени (отсечки мгновенного действия) второй линии:

Аналогично определяется ток срабатывания первой ступени защиты 1 Вторая - фото 44

Аналогично определяется ток срабатывания первой ступени защиты 1:

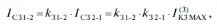
Вторая ступень защиты 1 должна быть отстроена от тока срабатывания первой - фото 45

Вторая ступень защиты 1 должна быть отстроена от тока срабатывания первой ступени защиты, установленной на следующей (второй) линии:

где k 3 12и k 3 21 коэффициенты запаса по току второй ступени защиты первой - фото 46

где k 3 1–2и k 3 2–1 — коэффициенты запаса по току второй ступени защиты первой линии и первой ступени второй линии соответственно; в общем случае значения этих коэффициентов различны, так как первая ступень защиты не имеет выдержки времени, а вторая — с целью обеспечения селективности действия — имеет.

По времени вторая ступень защиты 1 также должна быть отстроена от времени действия быстродействующих защит отходящих присоединений (вторая линия), с которыми имеет общую зону действия:

Релейная защита в распределительных электрических Б90 сетях - изображение 47

где t C3 2–1 — время действия первой ступени защиты 2.

Токи срабатывания реле (вторичные токи) отдельных ступеней защит вычисляются так:

Релейная защита в распределительных электрических Б90 сетях - изображение 48

где I C3— первичный ток срабатывания соответствующей ступени защиты;

k СХ — коэффициент схемы;

k т— коэффициент трансформации ТТ защиты.

Базовая схема токовой трехступенчатой защиты, устанавливаемой на отходящей линии электропередачи 10 кВ, показана на рис. 2.14.

Чувствительность первых ступеней защит оценивается по величине зоны действия - фото 49

Чувствительность первых ступеней защит оценивается по величине зоны действия. Зона действия, как правило, определяется графически.

Чувствительность вторых ступеней может оцениваться по величине зоны действия или по значению коэффициента чувствительности. Если зона действия второй ступени полностью охватывает контролируемую линию, то третья ступень защиты этой линии выполняет только резервные функции. Если же зона действия второй ступени меньше длины контролируемой линии, то третья ступень защиты линии является основной.

Чувствительность третьих ступеней защит оценивается по коэффициенту чувствительности, как у отдельных МТЗ.

2.5. Направленные токовые защиты

Направленная защита — это защита, действующая только при определенном направлении (знаке) мощности КЗ [2].

Читать дальше
Тёмная тема
Сбросить

Интервал:

Закладка:

Сделать


А. Булычев читать все книги автора по порядку

А. Булычев - все книги автора в одном месте читать по порядку полные версии на сайте онлайн библиотеки LibKing.




Релейная защита в распределительных электрических Б90 сетях отзывы


Отзывы читателей о книге Релейная защита в распределительных электрических Б90 сетях, автор: А. Булычев. Читайте комментарии и мнения людей о произведении.


Понравилась книга? Поделитесь впечатлениями - оставьте Ваш отзыв или расскажите друзьям

Напишите свой комментарий
x