С. Барулин - Налоговый менеджмент
- Название:Налоговый менеджмент
- Автор:
- Жанр:
- Издательство:Омега-Л
- Год:2007
- Город:М.
- ISBN:978-5-365-00752-9
- Рейтинг:
- Избранное:Добавить в избранное
-
Отзывы:
-
Ваша оценка:
С. Барулин - Налоговый менеджмент краткое содержание
В учебном пособии рассматривается теория налогового менеджмента, изучаются особенности государственного и корпоративного налогового менеджмента.
Для студентов вузов экономических специальностей, аспирантов и преподавателей, слушателей системы дополнительного образования, органов государственной власти, менеджеров предприятий, а также для широкого круга лиц, интересующихся вопросами управления налогами.
Налоговый менеджмент - читать онлайн бесплатно полную версию (весь текст целиком)
Интервал:
Закладка:
Различают однофакторные и многофакторные модели . Факторные модели отражают зависимость результирующего показателя (например, величины налоговых поступлений) от динамики одного или нескольких факторов. Факторные модели, как правило, строятся на основе эмпирических динамических рядов в виде регрессионных уравнений.
Для более долговременных прогнозов необходимо применять другие подходы, в частности, строить сложные имитационные модели , посредством которых можно обсчитывать налоговые последствия различных управляющих воздействий и на этой основе выбирать наиболее предпочтительные из них. Возможно применение сценарного метода прогнозирования , когда на основе количественной и качественной информации разрабатываются альтернативные картины будущего социально-экономического развития страны, региона или территории и на этой основе просчитывается налоговый потенциал по каждому сценарию.
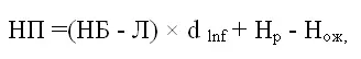
В общем виде алгоритм методики определения поступлений налоговых платежей в бюджет можно представить следующей формулой [17]
:

где: НП – ожидаемая сумма поступления налога в текущем году; НБ – налогооблагаемая база текущего года; Л – сумма льгот по налогу, вступающих в силу с планируемого финансового года; d inf– индекс-дефлятор, учитывающий инфляционный доход; Н ож– ожидаемая сумма недоимки налога на конец текущего года; Н р– сумма реструктурированной недоимки в соответствии с действующим законодательством.
Исходной составляющей налогового планирования является определение налоговой базы по видам налогов, расчет которой проводится в целом по стране и по регионам.
Прогноз поступлений налогов является исследованием перспективного характера, базирующимся на познании и предвидении объективных и субъективных факторов, влияющих на поступление налогов в их количественной определенности. Вследствие этого его результаты носят вероятностный, предварительный характер, несмотря на то, что при его разработке учитываются реальные экономические условия и процессы, а фундаментом прогноза являются комплексные программы экономического и социального развития страны или региона, которые определяют необходимую для этого динамику изменений основных макропоказателей. Учитывая эти обстоятельства, при прогнозировании налоговых поступлений должны быть, как уже отмечалось, охвачены этим процессом не столько сами величины налоговых поступлений, сколько их налогооблагаемые базы и (или) их составляющие элементы. В частности, динамика объемов производства отраслей промышленности и других отраслей народного хозяйства, индексы цен, валовая прибыль, уровень оплаты труда, изменения качественного и количественного состава предприятий и другие факторы, определяющие величины налогов.
Поскольку структура налоговых поступлений как в России в целом, так и в регионах характеризуется высокой долей косвенных налогов (более 60 %), важное значение приобретает прогнозирование поступлений по таким крупным классификационным группам, как косвенные и прямые налоги. Рассмотрим в качестве примера налоговое прогнозирование прямых и косвенных налогов на основе факторной модели .
В прогнозной модели косвенных налогов (Y K) в качестве факторов были взяты: общая сумма прибыли (X 1), сумма амортизационных отчислений (Х 2), сумма оплаты труда (Х 3) и валовые вложения в основной капитал (Х 4). Соотношение, на основе которого осуществлялось прогнозирование суммы косвенных налогов, имело следующий вид [18] Дуканич Л.В. Налоги и налогообложение. Серия «Учебники и учебные пособия». Ростов н/Д: Феникс, 2000. – С. 255.
:

В модели прямых налогов (Y n) следует использовать те же факторы, только вместо прямых налогов в качестве первого фактора нужно взять косвенные налоги.
Рассмотрим на примерах расчетов налога на доходы физических лиц, налога на прибыль и НДС общую схему действий при краткосрочном прогнозировании налоговых поступлений. Прогнозирование целесообразно осуществлять в указанной последовательности, поскольку величина налогооблагаемой базы по налогу на доходы физических лиц служит исходной информацией для расчета прогноза по налогу на прибыль и НДС, а ряд составляющих налогооблагаемой базы по налогу на прибыль, в свою очередь, учитывается при прогнозе НДС.
Прогноз поступлений налога на доходы физических лиц осуществляется на основе показателей среднемесячной численности работников (занятых в целом по народному хозяйству страны или в регионе, районе соответственно в зависимости от масштаба прогнозной задачи), среднемесячной оплаты труда (в стране, регионе, районе), средней ставки налога, льготируемой части оплаты труда. В основу прогноза численности работников кладется показатель численности согласно данным статистических органов за отчетный период, предшествующий прогнозируемому, с учетом возможных изменений факторов, влияющих на численность занятых. К числу таких факторов относятся: изменения объемов производства продукции и производительности труда, трансформация форм собственности предприятий, их количественный состав, факторы демографического порядка и др.
Сумма оплаты труда на прогнозируемый период рассчитывается как произведение численности работников, занятых в народном хозяйстве страны или региона, среднемесячной оплаты труда и количества месяцев в году. Для целей налогообложения его следует скорректировать на льготирумую часть оплаты труда. В краткосрочных прогнозах долю льготируемой оплаты труда принимают на уровне отчетного периода, поскольку, с одной стороны, прямой прогноз льготируемой части оплаты труда трудоемок, а с другой стороны, как показывает анализ ретроспективных данных, эта доля достаточно стабильна во времени.
Прогнозируемая сумма налога на доходы физических лиц рассчитывается как произведение облагаемой налогом оплаты труда и средней ставки налога, сложившейся в году, предшествующем прогнозируемому.
Прогноз налога на прибыль организаций осуществляется с учетом факторов, определяющих динамику налогооблагаемой прибыли (валовой внутренний продукт, объем промышленной продукции, общий объем товарооборота, индексы цен промышленной и иной продукции, темпы инфляции, материалоемкость, трудоемкость и др.).
Приведем в качестве примера одну из предлагаемых схем краткосрочного прогноза прибыли на основе интегрального показателя развития экономики региона. Указанный показатель вбирает в себя прогнозируемый прирост объемов производства, индексы цен и инфляционных ожиданий. Затем рассчитывается сложившийся в отчетном периоде коэффициент отставания прибыли от интегрального показателя (как правило, он должен быть меньше единицы). Прогнозируемая величина прибыли определяется путем корректирования сложившегося в отчетном периоде показателя прибыли на указанный коэффициент отставания. Поскольку налогообложение прибыли, полученной от разных видов деятельности, осуществляется по разным ставкам, то расчет прогнозной величины налоговых поступлений по прибыли также осуществляется в этой схеме по средней расчетной ставке. Такого рода упрощения, естественно, накладывают отпечаток на качество прогнозных расчетов. Однако более качественный прогноз, например, осуществленный отдельно по видам деятельности и категориям налогоплательщиков (например, по кредитно-финансовым организациям), реализовать на практике бывает затруднительно из-за отсутствия необходимой статистической информации.
Читать дальшеИнтервал:
Закладка: