Иван Никитко - Водоснабжение, канализация и отопление загородного дома
- Название:Водоснабжение, канализация и отопление загородного дома
- Автор:
- Жанр:
- Издательство:Издательство «Питер»046ebc0b-b024-102a-94d5-07de47c81719
- Год:2013
- Город:Санкт-Петербург
- ISBN:978-5-496-00463-3
- Рейтинг:
- Избранное:Добавить в избранное
-
Отзывы:
-
Ваша оценка:
Иван Никитко - Водоснабжение, канализация и отопление загородного дома краткое содержание
Налаженное функционирование систем водоснабжения, канализации и отопления – это комфорт и удобство всех проживающих в доме. И если даже не требуется вашего непосредственного участия в монтажных работах (практически все действия подобного типа должны выполняться специалистами, имеющими соответствующие лицензии), все равно необходимы пристальное внимание и контроль. Ведь от того, как будут налажены эти системы, зависит многое, в том числе и уровень эксплуатационных расходов. Поэтому будьте внимательны, подходите к вопросам водоснабжения, канализации и отопления со всей тщательностью и ответственностью. И пусть в вашем доме будет тепло и уютно.
Водоснабжение, канализация и отопление загородного дома - читать онлайн бесплатно ознакомительный отрывок
Интервал:
Закладка:
Подобный недостаток воды привел к активному поиску альтернативного теплоносителя, который мог бы выполнять все необходимые функции (доставка тепла от отопительного котла к отопительным приборам) и при этом обладал более низкой точкой замерзания. В результате появились специальные антифризы для отопительных систем.
Следует заметить, что антифриз для отопительных систем – это совсем не то же самое, что антифриз для автомобиля. Так что автомобильный тосол категорически нельзя заливать в отопительную систему. И дело тут вовсе не в точке замерзания, с ней как раз все в порядке. Антифриз для отопительных систем должен обладать определенными свойствами, которых автомобильный антифриз не имеет. Для того чтобы применяться в системе отопления жилого дома, антифриз должен:
✓ быть пожаробезопасным;
✓ не содержать добавок, запрещенных к использованию в жилых помещениях и способных нанести вред здоровью человека;
✓ не содержать добавок, которые могли бы вступить в реакцию с металлом;
✓ не разрушать резину, пластик, эластомеры и т. д. (материалы, которые используются в отопительных системах, к примеру резиновые прокладки).
Автомобильные тосолы этим требованиям не соответствуют.
Антифризы для систем отопления в большинстве случаев имеют в своей основе водный раствор пропиленгликоля или этиленгликоля. Существуют также антифризы, в основе которых лежат водные растворы солей, спиртов, диэтиленгликоля, моногликоля и другие, но они не получили такого широкого распространения.
Антифризы очень текучи, гораздо текучее воды, особенно это проявляется при охлаждении системы – когда при низких температурах происходит неравномерное сжатие металла и прокладок и появляются микрощели, антифриз способен через них просочиться. Для того чтобы быстро определять утечку, антифризы на основе этиленгликоля окрашиваются в красный цвет, а на основе пропиленгликоля – в зеленый.
Антифризы на базе этиленгликоля достаточно дешевы, но имеют существенный недостаток: этиленгликоль токсичен. Поэтому для использования такого антифриза не годятся отопительные системы с открытым расширительным баком (пары этиленгликоля тоже не безвредны), и его нельзя использовать в системах отопления двухконтурного типа – такая система отопления включает в себя контур отопления и контур горячего водоснабжения, и высока вероятность того, что токсичное вещество попадет в контур горячего водоснабжения. Так что использовать антифризы на базе этиленгликоля можно только в одноконтурных отопительных системах.
Антифризы на базе пропиленгликоля гораздо дороже, но они безопаснее в применении – такие антифризы являются нетоксичными и могут быть использованы в двухконтурных системах отопления без всякого опасения за здоровье.
Все антифризы, предназначенные для использования в отопительных системах, имеют специальные присадки, снижающие вероятность коррозии, препятствующие образованию накипи, защищающие от вспенивания, препятствующие растворению и набуханию уплотнителей для герметизации. Такие присадки позволяют использовать антифризы в отопительной системе – и именно из-за отсутствия данных присадок использовать в отопительной системе автомобильный тосол нельзя, это приведет лишь к выходу системы из строя, а то и к отравлению (если тосол будет использован в двухконтурной отопительной системе или просочится, разрушив прокладки).
Антифризы выпускаются в виде концентрата, который рекомендуется разбавлять водой для получения нужной температуры замерзания. Считается, что оптимально использовать антифриз с температурой замерзания +20… +25 °C.
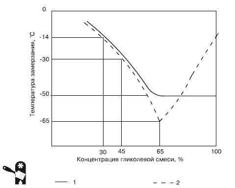
При разбавлении антифризов водой может возникнуть проблема: выпадение осадка, что происходит из-за наличия в воде солей (Рис. 3.25). Рекомендуется либо использовать дистиллированную воду, либо воду с жесткостью, не превышающей 5 мг-экв/л. К сожалению, далеко не всегда известна жесткость воды в водопроводе, а она может оказаться существенно выше, чем допустимая. Для того чтобы не переводить напрасно дорогостоящий продукт (антифриз), лучше развести водой небольшое его количество, соблюдая нужную пропорцию, и убедиться в отсутствии осадка. Если же осадок имеется, то придется отказаться от водопроводной воды и приобрести дистиллированную.

Рис. 3.25.Изменение точки замерзания в зависимости от концентрации антифриза: 1 – антифриз на основе пропиленгликоля; 2 – антифриз на основе этиленгликоля
Случается, что температура зимой падает и ниже, но при этом нет таких катастрофических последствий для отопительной системы, как в случае с водой: если вода при достижении точки замерзания превращается в лед, расширяется и разрушает систему отопления, то антифризы всего лишь густеют (до –65 °C), а затем, после отогревания, вновь возвращаются все свойства, необходимые для нормального функционирования отопительной системы, в том числе и плотность.
Иногда, желая перестраховаться, домовладельцы заливают в отопительную систему неразбавленный антифриз с температурой замерзания –65 °C. Подобная перестраховка может привести к проблемам с отопительным оборудованием и самим теплоносителем. Сначала из-за недостаточного теплосъема начнет перегреваться теплообменник, затем повышение температуры приведет к разложению присадок в антифризе. В результате разложения присадок образуется нагар, а это приведет к еще большему увеличению температуры. Следствием такого нагрева будет выход из строя теплообменника.
Планируя применять в отопительной системе антифриз, следует заранее позаботиться о выборе соответствующего оборудования: большая часть отопительного оборудования, представленного на российском рынке, рассчитана на применение воды в качестве теплоносителя. Иные требования предъявляются не только к прокладкам и герметикам (следует применять только те, которые выпускаются специально для антифриза), но и к котлам. Применение антифриза в отопительных котлах, рассчитанных на воду, приводит к перегреву теплогенератора и, как следствие, к сокращению срока его службы, возможны и аварийные отключения. Подобное связано со свойствами антифриза, которые отличаются от свойств воды – у этих веществ разная не только точка замерзания, но и плотность, теплопроводность и т. д.

Внимание
Не доверяйте продавцам, которые утверждают, что предлагаемое ими отопительное оборудование универсально и может работать с любым теплоносителем. Каждый теплоноситель обладает определенными свойствами, и отопительное оборудование рассчитано именно на них. При его приобретении ознакомьтесь с описанием производителя – в паспортах обычно указывается, какой именно теплоноситель требуется для данного вида оборудования.
Читать дальшеИнтервал:
Закладка: