Стивен Вайнберг - Первые три минуты [litres]

Тут можно читать онлайн Стивен Вайнберг - Первые три минуты [litres] - бесплатно ознакомительный отрывок. Жанр: sci-phys, издательство Литагент АСТ, год 2019. Здесь Вы можете читать ознакомительный отрывок из книги онлайн без регистрации и SMS на сайте лучшей интернет библиотеки ЛибКинг или прочесть краткое содержание (суть), предисловие и аннотацию. Так же сможете купить и скачать торрент в электронном формате fb2, найти и слушать аудиокнигу на русском языке или узнать сколько частей в серии и всего страниц в публикации. Читателям доступно смотреть обложку, картинки, описание и отзывы (комментарии) о произведении.
  • Название:
    Первые три минуты [litres]
  • Автор:
  • Жанр:
  • Издательство:
    Литагент АСТ
  • Год:
    2019
  • Город:
    Москва
  • ISBN:
    978-5-17-113740-3
  • Рейтинг:
    4.5/5. Голосов: 21
  • Избранное:
    Добавить в избранное
  • Отзывы:
  • Ваша оценка:
    • 100
    • 1
    • 2
    • 3
    • 4
    • 5

Стивен Вайнберг - Первые три минуты [litres] краткое содержание

Первые три минуты [litres] - описание и краткое содержание, автор Стивен Вайнберг, читайте бесплатно онлайн на сайте электронной библиотеки LibKing.Ru
В одной из главных и самых известных своих работ «Первые три минуты» Стивен Вайнберг раскрывает современный взгляд на происхождение Вселенной. Простым, доступным языком автор излагает историю фундаментальных астрофизических открытий, разворачивает картину эволюции Вселенной на ранних стадиях ее развития после Большого взрыва и приводит факты, подтверждающие модель так называемой «горячей» Вселенной.

Первые три минуты [litres] - читать онлайн бесплатно ознакомительный отрывок

Первые три минуты [litres] - читать книгу онлайн бесплатно (ознакомительный отрывок), автор Стивен Вайнберг
Тёмная тема
Сбросить

Интервал:

Закладка:

Сделать
До аннигиляции электронов с позитронами температура нейтрино Τ была равна - фото 74

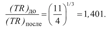
До аннигиляции электронов с позитронами температура нейтрино Τ была равна температуре фотонов Τ. Но затем Τ v начала падать просто как 1/ R , поэтому в любой последующий момент времени T v R равно значению TR до аннигиляции:

(T v R) после = (T v R) до = (T v R) до.

Отсюда заключаем: после завершения процесса аннигиляции температура фотонов превышает температуру нейтрино на коэффициент:

Хотя нейтрино и антинейтрино вышли из теплового равновесия они вносят - фото 75

Хотя нейтрино и антинейтрино вышли из теплового равновесия, они вносят существенный вклад в полную плотность энергии. Эффективное число сортов нейтрино равно 7/2, т. е. 7/4 от числа степеней свободы фотона. (Фотон может находиться в двух состояниях с разным спином.) А температура нейтрино в четвертой степени, наоборот, в (4/11) 4/3 раза меньше температуры фотонов в четвертой степени. Соответственно отношение плотности энергии нейтрино и антинейтрино к плотности энергии фотонов равно:

Из закона Стефана Больцмана см главу 3 следует что при температуре - фото 76

Из закона Стефана – Больцмана (см. главу 3) следует, что при температуре фотонов T плотность энергии фотонов есть:

Таким образом полная плотность энергии после аннигиляции электронов и - фото 77

Таким образом, полная плотность энергии после аннигиляции электронов и позитронов равна:

Эту величину можно пересчитать в массовую плотность разделив первую на квадрат - фото 78

Эту величину можно пересчитать в массовую плотность, разделив первую на квадрат скорости света:

Послесловие Что произошло в космологии с 1977 г За 16 лет прошедших с - фото 79

Послесловие. Что произошло в космологии с 1977 г.

За 16 лет, прошедших с момента первого издания «Первых трех минут», Вселенная расширилась на 12 стомиллионных процента. А может быть, только на 6,5 стомиллионных. Такой разброс данных связан с тем, что мы по-прежнему не очень точно знаем темп расширения Вселенной. Как говорилось в главе 2, он выражается через один из важнейших космологических параметров – постоянную Хаббла, которую измеряют, наблюдая зависимость скоростей далеких галактик от расстояния до них. В последнее время ошибки измерений, по словам астрономов, непрерывно уменьшаются. Однако разница между результатами различных групп, к сожалению, выходит за рамки заявленных погрешностей. По данным одних наблюдений, получена величина 80 км/с на мегапарсек (3,26 миллиона световых лет), а по другим, скорости галактик увеличиваются на 40 км/с на каждый мегапарсек. Получается, мы знаем темп расширения Вселенной всего лишь с точностью до двойки.

Проблема здесь не в измерении скоростей далеких галактик – это легко сделать, изучив смещение линий в спектре галактики в красную область. Трудности, как всегда, начинаются тогда, когда дело доходит до измерения дистанций. Раньше расстояния до галактик определяли, наблюдая некоторый класс объектов, характеризующихся постоянной собственной светимостью. Это, например, ярчайшие звезды или шаровые скопления в галактиках определенного класса, или, скажем, сверхновые. Зная их видимую светимость, можно вычислить расстояния до них. Чем они тусклее, тем дальше. Недавно на помощь пришли и другие методы, основанные на связи светимости какой-либо галактики с ее наблюдаемыми внутренними свойствами (такими, как скорости звезд и газовых облаков в галактике). Расстояния до галактик продолжают оценивать и по сверхновым, измеряя их видимую яркость. Как бы то ни было, полученные из разных наблюдений значения постоянной Хаббла противоречат друг другу. В свое время большие надежды возлагались на крупный «Космический телескоп Хаббла» (HST), расположенный на искусственном спутнике Земли. К сожалению, досадные технические проблемы, приводящие к недопустимым вибрациям зеркала и, как следствие, к искажению изображения, не позволили выполнять точные измерения расстояний до галактик. Хотя другим областям астрономии «Хаббл», несомненно, принес немало пользы.

Но, несмотря на все трудности, стандартная картина Вселенной, основанная на теории Большого взрыва, доверие научной общественности завоевала. Во-первых, у нас теперь больше убедительных наблюдательных свидетельств справедливости космологического принципа, являющегося, как мы говорили в главе 2, краеугольным камнем стандартной космологической модели. Этот принцип гласит: вещество во Вселенной, если усреднить по большим масштабам, распределено однородно и изотропно. В некоторый момент стало казаться, будто наблюдения идут вразрез с этим утверждением. Действительно, одна за другой открывались «великие» неоднородности: великий аттрактор, великие стены, великие пустоты и т. д. Однако сейчас более или менее ясно, что Вселенная все-таки однородна и изотропна – если усреднять по достаточно большим расстояниям, соответствующим относительной скорости примерно в 40 тысяч км/с. (Положив постоянную Хаббла равной 80 км/с на мегапарсеков, можно пересчитать эту скорость в расстояние: получим 500 мегапарсек, или 1,5 миллиарда световых лет.) Еще одно наблюдение в копилку космологического принципа – изотропия высокоэнергичного космического рентгеновского излучения, приходящего, по всей видимости, с расстояний больше, чем 500 мегапарсек.

Но самое очевидное наблюдательное доказательство теории Большого взрыва дают измерения реликтового фона, открытого, как известно, в 1965 г. В последнее время в этой области произошел заметный прогресс. Как говорилось в главе 3, если этот микроволновый фон действительно сохранился с эпохи ранней Вселенной, то распределение его интенсивности по длинам волн должно подчиняться хорошо известному закону. Такая же зависимость, изображенная на рис. 7, имеет место и для излучения нагретого тела с абсолютно поглощающими («черными») стенками. С 1965 г. то и дело поступали сообщения об обнаружении отклонений в спектре микроволнового фона от профиля, показанного на рис. 7, однако никто не мог сказать наверняка, действительно ли эти эффекты вызваны самим реликтовым излучением или к ним причастна земная атмосфера. В итоге 18 ноября 1989 г. ракетоноситель «Дельта» вывел за пределы атмосферы COBE («Спутник для исследований космического фона»). (В главе 3 я упомянул о том, что в момент, когда в 1977 г. «Первые три минуты» были уже подписаны в печать, я получил первый новостной бюллютень «Спутника для исследований космического фона», в котором излагались планы по его запуску. Сам спутник полетел лишь через 12 лет, однако наше терпение было вознаграждено.) За первые восемь минут полета установленный на спутнике микроволновый радиометр, измерив интенсивность фона на различных длинах волн, представил доказательство того, что спектр реликтового излучения является спектром абсолютно черного тела с точностью до одной тысячной, а эквивалентная температура равна 2,735 К (т. е. 2,735 градуса выше абсолютного нуля). Отклонения от закона излучения абсолютно черного тела, сообщения о которых время от времени появлялись в научной литературе в последние 20 лет, обнаружены не были. Согласие между теорией и экспериментом сейчас настолько хорошее, что мы практически уверены: фоновое излучение дошло до нас с той эпохи, когда Вселенная впервые стала прозрачной для фотонов – а это произошло примерно через миллион лет после Большого взрыва.

Читать дальше
Тёмная тема
Сбросить

Интервал:

Закладка:

Сделать


Стивен Вайнберг читать все книги автора по порядку

Стивен Вайнберг - все книги автора в одном месте читать по порядку полные версии на сайте онлайн библиотеки LibKing.




Первые три минуты [litres] отзывы


Отзывы читателей о книге Первые три минуты [litres], автор: Стивен Вайнберг. Читайте комментарии и мнения людей о произведении.


Понравилась книга? Поделитесь впечатлениями - оставьте Ваш отзыв или расскажите друзьям

Напишите свой комментарий