Константин Ефанов - Аппараты с перемешивающими устройствами
- Название:Аппараты с перемешивающими устройствами
- Автор:
- Жанр:
- Издательство:Array SelfPub.ru
- Год:2021
- ISBN:978-5-532-03611-6
- Рейтинг:
- Избранное:Добавить в избранное
-
Отзывы:
-
Ваша оценка:
Константин Ефанов - Аппараты с перемешивающими устройствами краткое содержание
Аппараты с перемешивающими устройствами - читать онлайн бесплатно ознакомительный отрывок
Интервал:
Закладка:
– доля частиц с временем, меньшим θ 1 
– доля частиц с временем, большим θ 1 
Доля потока с временем выхода, меньшим θ 2
Доля потока с временем выхода, большим θ 2
Для экспериментального определения не идеальности потока в аппарат вводят трассер [7,с.242].
Отклик измеряют на выходном патрубке.
Импульсный сигнал является δ-функцией.
С-кривой является функция изменения концентрации трассера в потоке на выходном патрубке при импульсном вводе.
F-кривой является функция изменения концентрации трассера в потоке на выходном патрубке при импульсном вводе и поддержании концентрации трассера в потоке на этом уровне.
В работе [7,с.244] приводится график F-кривой, график для δ-сигнала и С-кривой:
С помощью этих кривых производится расчет реакторов с неидеальным потоком.
Модели по кривым, учитывающим отклонение потока от идеальности не показывают структуру потока.
Структуру потока можно рассчитать методами вычислительной гидродинамики в программных пакетах и представить результат в наглядном виде на цветной диаграмме со шкалой.
Определение параметров ячеечной модели
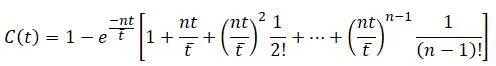
Кафаров отмечает [19,с.118] несмотря на разработанность теории идеального смешения, реальное перемешивание такой моделью не описывается. Отклонение перемешивания от идеального устанавливают подачей индикатора (см. выше) на вход в аппарат в установившемся состоянии процесса в момент времени t 0в количестве C 0. В этот же момент замеряется концентрация индикатора на выходном патрубке аппарата:
Кафаров указывает, что доля индикатора, вышедшая за время (t-t 0) записывается в виде функции от числа аппаратов [16,с.118]:
n – число ячеек полного перемешивания,
– среднее время пребывания индикатора в аппарате.
Полученное по приведенной формуле Кафарова расчетное значение С( t ) сравнивается с экспериментальной величиной С для момента времени t – для оценки числа ячеек полного смешения, которое соответствует реальным условиям перемешивания.
Кафаров [19,с.119] приводит блок-схему нахождения числа ячеек:
Кафаров приводит программу [19,с.120], записанную на одном из языков программирования. В Вычисление выполняется в виде процедуры, которая запускается из основного программного кода. В первоначальном приближении число ячеек задается равным 1, затем если Сnтеор < Сэкс, число ячеек увеличивают на 1 и повторяют вычисление. Если используется несколько экспериментальных точек определения концентрации индикатора, программа может выдавать усредненное значение. Окончание расчета происходит при сопоставлении суммы квадратов отклонений расчетной и экспериментальной кривых.
__
Пример технологического расчета аппарата с мешалкой
При технологическом расчете аппарата с мешалкой определяются его геометрические размеры и расход теплоносителя.
Расчетная схема аппарата по данным Голованчикова А.Б. [24]:
Существует «пуклеванная» конструкция рубашки аппарата, имеющая минимальную толщину стенки и максимальную жесткость за счет выполнения конусных вытяжек в рубашке и приварке отверстий в вытяжках к обечайке корпуса аппарата. В работе А.Г. Касаткина [20,с.335] такая рубашка называется рубашкой с анкерными связями:
Внутри пуклеванной рубашки происходит перемешивание потока при обтекании конусных вытяжек рубашки и за счет этого интенсифицируется теплообмен. Недостаток, характерный для коаксиальных рубашек отсутствует. Одним из преимуществ пуклеванной рубашки является высокая прочность и жесткость и за счет этого применение минимально тонкого листа для изготовления.
Прочностной расчет такой рубашки выполняется методом конечных элементов в специальной программе, например ANSYS. Как правило, толщина рубашки составляет 2 и более мм.
Существуют змеевиковые теплообменные устройства. Змеевик может быть помещен внутри аппарата или навит и приварен снаружи к обечайке, как показано в работе Касаткина [20,с.335]:
В этом случае выполняется расчет змеевикового теплового устройства.
__
Ниже приведем технологический расчет аппарата с мешалкой с коаксиальной рубашкой. Приводимый расчет основан на методиках А.Б. Голованчикова [23], [24], (а также с применением образцов расчета [20], [25]), в которых скомпилированы гидравлические и тепловые расчеты элементов для одного объекта аппарата с рубашкой.
По модели реактора идеального смешения определяются [23], [24]:
– концентрация непрореагировавшего сырья (χ – степень превращения):
– определяется скорость реакции:
(для определения скорости реакции строятся интегральная и дифференциальная кривые, программа рассчитывает интеграл по формуле Симпсона с разбиением кривой на ряд участков)
– находится среднее время пребывания:
(v rk– скорость в конце реакции по интегральной кривой)
– объем реакционной массы:
Для экзотермической реакции (с выделением тепла):
– тепловая нагрузка на аппарат:
– расход хладагента на отвод тепа:
Читать дальшеИнтервал:
Закладка: