Константин Ефанов - Теория расчета нефтяных аппаратов высокого давления [litres самиздат]

Тут можно читать онлайн Константин Ефанов - Теория расчета нефтяных аппаратов высокого давления [litres самиздат] - бесплатно ознакомительный отрывок. Жанр: Математика, издательство Array SelfPub.ru, год 2021. Здесь Вы можете читать ознакомительный отрывок из книги онлайн без регистрации и SMS на сайте лучшей интернет библиотеки ЛибКинг или прочесть краткое содержание (суть), предисловие и аннотацию. Так же сможете купить и скачать торрент в электронном формате fb2, найти и слушать аудиокнигу на русском языке или узнать сколько частей в серии и всего страниц в публикации. Читателям доступно смотреть обложку, картинки, описание и отзывы (комментарии) о произведении.
  • Название:
    Теория расчета нефтяных аппаратов высокого давления [litres самиздат]
  • Автор:
  • Жанр:
  • Издательство:
    Array SelfPub.ru
  • Год:
    2021
  • ISBN:
    нет данных
  • Рейтинг:
    4/5. Голосов: 11
  • Избранное:
    Добавить в избранное
  • Отзывы:
  • Ваша оценка:
    • 80
    • 1
    • 2
    • 3
    • 4
    • 5

Константин Ефанов - Теория расчета нефтяных аппаратов высокого давления [litres самиздат] краткое содержание

Теория расчета нефтяных аппаратов высокого давления [litres самиздат] - описание и краткое содержание, автор Константин Ефанов, читайте бесплатно онлайн на сайте электронной библиотеки LibKing.Ru
Монография по теории расчета нефтяных аппаратов (оболочек корпусов). Рассмотрены трехмерная и осесимметричная задачи теории упругости, реализация расчета методом конечных элементов. Написана для обмена опытом между специалистами. Предназначается для специалистов по разработке конструкций нефтяного статического оборудования (емкостей, колонн и др.) проектных институтов, научно-исследовательских институтов, заводов нефтяного машиностроения, инжиниринговых компаний, профессорско-преподавательского состава технических университетов.

Теория расчета нефтяных аппаратов высокого давления [litres самиздат] - читать онлайн бесплатно ознакомительный отрывок

Теория расчета нефтяных аппаратов высокого давления [litres самиздат] - читать книгу онлайн бесплатно (ознакомительный отрывок), автор Константин Ефанов
Тёмная тема
Сбросить

Интервал:

Закладка:

Сделать

Важным является то, что элемент обеспечивает размерами условие сплошности. Это требует, чтобы размеры были намного больше размеров молекул, кристаллических структур и даже зерен (для стали), на уровне которых существует не сплошность.

Элемент не может быть «стянут» в точку и для него существует минимальные размеры, меньше которых элемент быть не может.

Покажем условия равновесия на основании тетраэдра, описанного вокруг интересующей точки. Процитируем графику Новожилова [3,с.14]:

и соответствующий этой графике вид в плане наглядно показывающий - фото 4

и соответствующий этой графике вид «в плане», наглядно показывающий необходимость касательных напряжений для условий равновесия [3], но также необходимых для препятствия вырыва элемента из стенки оболочки вдоль меридиональных и кольцевых секущих плоскостей:

После совмещения - фото 5

После совмещения

Теория расчета нефтяных аппаратов высокого давления litres самиздат - фото 6 Теория расчета нефтяных аппаратов высокого давления litres самиздат - фото 7 Из приведенной графики отчетливо видно что главные напряжения не являются - фото 8 Из приведенной графики отчетливо видно что главные напряжения не являются - фото 9 Из приведенной графики отчетливо видно что главные напряжения не являются - фото 10

Из приведенной графики отчетливо видно, что главные напряжения не являются кольцевыми напряжениями (не совпадают по направлению).

Очевидно, что необходимо в точке совмещения перейти от кольцевых и меридиональных напряжений к главным напряжениям и условия равенства площадей верхних и боковых граней кольцевого сегмента не выполняются.

Итак, рассмотрев осесимметричную задачу теории упругости, на основании простых геометрических соображений и распределения напряжений вокруг точки тела, положенных в основание теории упругости, можно сделать вывод о некорректности осесимметричной задачи, об ошибке в этой задаче.

По мнению автора, осесимметричная задача в существующем виде должна быть признана некорректной и доработана с учетом написанного выше.

Трехмерная задача теории упругости построена корректно. Оболочка рассматривается как твердое тело, к которому непосредственно прикладывают нагрузки и изучают вызванные деформации и напряжения.

Ниже более подробно рассмотрим применение трехмерной и осесимметричной задач к расчету оболочек корпуса нефтяных и атомных аппаратов.

Затем приведем формулы с обоснованием, используемые в нормах для сосудов высокого давления до 130 МПа и оценку прочности стенки сосудов.

Трехмерная задача теории упругости для полого цилиндра

Трехмерная задача для оболочек цилиндра (задача Ламе) и сферы подробно решена в работе член.-корр. Лурье А.И. [6,с.387].

Лурье А.И. записал краевые условия (давления приняты одинаковыми) [6]:

По краевым условиям находятся постоянные интегрирования уравнений 6 Эти - фото 11

По краевым условиям находятся постоянные интегрирования уравнений [6]:

Эти уравнения выведены из уравнений перемещения точек упругого тела в - фото 12

Эти уравнения выведены из уравнений перемещения точек упругого тела в осесимметричной задаче, записанного в цилиндрических координатах ( как было написано выше, оболочка рассматривается в виде твердого тела и к ней непосредственно прикладываются нагрузки и изучаются деформации и напряжения ) [6]:

U радиальное перемещение w осевое перемещение Расшифровка остальных - фото 13

U – радиальное перемещение, w – осевое перемещение. Расшифровка остальных членов – см. работу [6,с.384].

Для напряжений по закону Гука, Лурье записал [6]:

После выполнения выкладок по краевым условиям записанным выше Лурье получает - фото 14

После выполнения выкладок по краевым условиям, записанным выше, Лурье получает уравнения для цилиндра в задаче Ламе для деформаций (перемещений) и напряжений.

Для деформаций цилиндра без продольного перемещения торцов [6]:

Для напряжений цилиндра без продольного перемещения торцов 6 Для деформаций - фото 15

Для напряжений цилиндра без продольного перемещения торцов [6]:

Для деформаций цилиндра со свободным перемещения торцов 6 Для напряжений - фото 16

Для деформаций цилиндра со свободным перемещения торцов [6]:

Для напряжений цилиндра со свободным перемещения торцов 6 Для деформаций - фото 17

Для напряжений цилиндра со свободным перемещения торцов [6]:

Для деформаций цилиндра под наружным давлением со свободным перемещения торцов - фото 18

Для деформаций цилиндра под наружным давлением со свободным перемещения торцов [6]:

Для напряжений цилиндра под наружным давлением со свободным перемещения торцов - фото 19

Для напряжений цилиндра под наружным давлением со свободным перемещения торцов [6]:

На основании приведенных выше формул можно выполнять расчет аппаратов высокого - фото 20

На основании приведенных выше формул можно выполнять расчет аппаратов высокого давления до 130МПа по трехмерной задаче теории упругости.

В настоящее время расчет оболочек аппаратов в виде трехмерного твердого тела с определением напряжений и деформаций выполняется методом конечных элементов (МКЭ) в специальных программных пакетах, например, ANSYS

Осесимметричная задача теории упругости для полого цилиндра

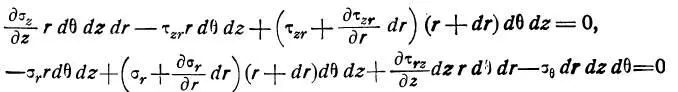
Повторно процитируем графику из работы Безухова [2,с.143]:

Уравнения равновесия 2 После преобразований 2 Уравнения для деформаций - фото 21

Уравнения равновесия [2]:

После преобразований 2 Уравнения для деформаций 2 Уравнения для - фото 22

После преобразований [2]:

Уравнения для деформаций 2 Уравнения для напряжений 2 Объемное - фото 23

Уравнения для деформаций [2]:

Уравнения для напряжений 2 Объемное расширение тела 2 Перемещения - фото 24

Уравнения для напряжений [2]:

Объемное расширение тела 2 Перемещения должны описываться уравнениями 2 - фото 25

Объемное расширение тела [2]:

Читать дальше
Тёмная тема
Сбросить

Интервал:

Закладка:

Сделать


Константин Ефанов читать все книги автора по порядку

Константин Ефанов - все книги автора в одном месте читать по порядку полные версии на сайте онлайн библиотеки LibKing.




Теория расчета нефтяных аппаратов высокого давления [litres самиздат] отзывы


Отзывы читателей о книге Теория расчета нефтяных аппаратов высокого давления [litres самиздат], автор: Константин Ефанов. Читайте комментарии и мнения людей о произведении.


Понравилась книга? Поделитесь впечатлениями - оставьте Ваш отзыв или расскажите друзьям

Напишите свой комментарий
x