Константин Ефанов - Теория расчета нефтяных аппаратов высокого давления [litres самиздат]

Тут можно читать онлайн Константин Ефанов - Теория расчета нефтяных аппаратов высокого давления [litres самиздат] - бесплатно ознакомительный отрывок. Жанр: Математика, издательство Array SelfPub.ru, год 2021. Здесь Вы можете читать ознакомительный отрывок из книги онлайн без регистрации и SMS на сайте лучшей интернет библиотеки ЛибКинг или прочесть краткое содержание (суть), предисловие и аннотацию. Так же сможете купить и скачать торрент в электронном формате fb2, найти и слушать аудиокнигу на русском языке или узнать сколько частей в серии и всего страниц в публикации. Читателям доступно смотреть обложку, картинки, описание и отзывы (комментарии) о произведении.
  • Название:
    Теория расчета нефтяных аппаратов высокого давления [litres самиздат]
  • Автор:
  • Жанр:
  • Издательство:
    Array SelfPub.ru
  • Год:
    2021
  • ISBN:
    нет данных
  • Рейтинг:
    4/5. Голосов: 11
  • Избранное:
    Добавить в избранное
  • Отзывы:
  • Ваша оценка:
    • 80
    • 1
    • 2
    • 3
    • 4
    • 5

Константин Ефанов - Теория расчета нефтяных аппаратов высокого давления [litres самиздат] краткое содержание

Теория расчета нефтяных аппаратов высокого давления [litres самиздат] - описание и краткое содержание, автор Константин Ефанов, читайте бесплатно онлайн на сайте электронной библиотеки LibKing.Ru
Монография по теории расчета нефтяных аппаратов (оболочек корпусов). Рассмотрены трехмерная и осесимметричная задачи теории упругости, реализация расчета методом конечных элементов. Написана для обмена опытом между специалистами. Предназначается для специалистов по разработке конструкций нефтяного статического оборудования (емкостей, колонн и др.) проектных институтов, научно-исследовательских институтов, заводов нефтяного машиностроения, инжиниринговых компаний, профессорско-преподавательского состава технических университетов.

Теория расчета нефтяных аппаратов высокого давления [litres самиздат] - читать онлайн бесплатно ознакомительный отрывок

Теория расчета нефтяных аппаратов высокого давления [litres самиздат] - читать книгу онлайн бесплатно (ознакомительный отрывок), автор Константин Ефанов
Тёмная тема
Сбросить

Интервал:

Закладка:

Сделать
Перемещения должны описываться уравнениями 2 Для поиска напряжений - фото 26

Перемещения должны описываться уравнениями [2]:

Для поиска напряжений уравнения напряжений теории упругости преобразуют из - фото 27

Для поиска напряжений, уравнения напряжений теории упругости преобразуют из прямоугольных (декартовых) в цилиндрические координаты.

Записывают уравнение [2]:

После выкладок получается 2 При подстановки записанных уравнений для - фото 28

После выкладок получается [2]:

При подстановки записанных уравнений для напряжений в записанные выше уравнения - фото 29

При подстановки записанных уравнений для напряжений в записанные выше уравнения статического равновесия выделенного элемента, последние обращаются в тождества [2].

Безухов [2,с.180] при рассмотрении задачи Ламе записывает граничные условия и ссылается на формулы для плоской задачи теории упругости [2,с.138], полученные для напряжений, распределенных симметрично относительно оси. Процитируем графику для плоской задачи [2,с.136]:

Для этой графики Безухов некорректно указывает что касательные напряжения по - фото 30

Для этой графики Безухов некорректно указывает, что касательные напряжения по определенным граням равны нулю. На некорректность этого утверждения для случая осесимметричной задачи аргументы были приведены выше автором настоящей работы.

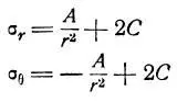
Безухов записывает формулы для напряжений [2]:

Из этих уравнений приняв В 0 получается 2с180 Из граничных условий - фото 31

Из этих уравнений, приняв В = 0, получается [2,с.180]:

Из граничных условий получается Результат в виде формул получ - фото 32

Из граничных условий

получается Результат в виде формул получился таким же как и в литературе по - фото 33

получается:

Результат в виде формул получился таким же как и в литературе по сопротивлению - фото 34 Результат в виде формул получился таким же как и в литературе по сопротивлению - фото 35

Результат в виде формул получился таким же как и в литературе по сопротивлению материалов, например, в учебниках Беляева Н.М. [6,с.609] и Ильюшина [7,с.176]. Но в сопротивлении материалов формулы выводятся по-другому. Особенностью изложения Беляевым является подчеркивание универсальности теории упругости и применение полученных формул для толстостенных сосудов к расчету тонкостенных сосудов.

Процитируем графику из работы Ильюшина [7,с.177]:

Ильюшин записывает известные уравнения 7с178 Уравнение равновесия - фото 36

Ильюшин записывает известные уравнения [7,с.178]:

Уравнение равновесия 7с178 И затем после промежуточных выкладок находит - фото 37

Уравнение равновесия [7,с.178]:

И затем после промежуточных выкладок находит три напряжения 7с179 Как - фото 38

И затем после промежуточных выкладок находит три напряжения [7,с.179]:

Как видно формулы совпадают с полученными Безуховым однако выведены другим - фото 39

Как видно, формулы совпадают с полученными Безуховым, однако выведены другим путем.

Для случая пластического состояния материала стенки уравнение равновесия при внутреннем давлении Ильюшин записал [7,с.182]:

Формулы для деформаций и напряжений полой трубы при пластической деформации - фото 40

Формулы для деформаций и напряжений полой трубы при пластической деформации имеют более сложный вид, выводятся по-другому и приведены подробно в работе Ильюшина [8,с.144].

Папкович в работе [9] указывает, что для длинного цилиндра посередине будет плоское напряженное состояние. На этом основании, по-видимому, в литературе по теории упругости, например [2], при рассмотрении задачи Ламе производится рассмотрение плоской задачи и вывод формул по соответствующему пути. Несмотря на то, что в этой же литературе приведены формулы для осесимметричной задачи.

Такой подход является по существу некорректным. Необходимо применять трехмерную задачу, лишенную, по-видимому, указанных недостатков.

Расчет сосудов и аппаратов высокого давления до 130МПа по нормам

Меридиональные, радиальные, тангенциальные напряжения согласно работе [10,с.56]:

Как видно из записанных формул величина радиальных и тангенциальных напряжений - фото 41 Как видно из записанных формул величина радиальных и тангенциальных напряжений - фото 42 Как видно из записанных формул величина радиальных и тангенциальных напряжений - фото 43

Как видно из записанных формул, величина радиальных и тангенциальных напряжений изменяется по толщине. Радиальное напряжение на внутренней поверхности стенки оболочки является равным внутреннему давлению. Тангенциальные напряжения на внутренней поверхности стенки достигают максимума.

Наибольшим напряжением будет являться тангенциальное при закрытых торцах цилиндра приваренными днищами [11,с.146]:

Рассмотрим оценку напряженного состояния по теориям прочности по данным работы - фото 44

Рассмотрим оценку напряженного состояния по теориям прочности по данным работы [11].

По первой теории прочности [11,с.144]:

По второй теории прочности 11с145 По третьей теории прочности 11с145 - фото 45

По второй теории прочности [11,с.145]:

По третьей теории прочности 11с145 По четвертой теории прочности - фото 46

По третьей теории прочности [11,с.145]:

По четвертой теории прочности 11с145 В работах 10 и 11 выполнено - фото 47

По четвертой теории прочности [11,с.145]:

В работах 10 и 11 выполнено сравнение толщин стенок рассчитанных по - фото 48

В работах [10] и [11] выполнено сравнение толщин стенок, рассчитанных по формулам теории упругости для толстостенных аппаратов и по формулам теории тонких оболочек для тонкостенных аппаратов. Сравнение выполнено для граничного условия отношения толщины стенки к диаметру, равному 0,1.

В теории тонких оболочек находят среднее напряжение аналогично теории пластин в виде интеграла, как показано в работе Новожилова [12]. По второй теории прочности для толстостенных сосудов применено формула для тонкостенных сосудов [11].

Читать дальше
Тёмная тема
Сбросить

Интервал:

Закладка:

Сделать


Константин Ефанов читать все книги автора по порядку

Константин Ефанов - все книги автора в одном месте читать по порядку полные версии на сайте онлайн библиотеки LibKing.




Теория расчета нефтяных аппаратов высокого давления [litres самиздат] отзывы


Отзывы читателей о книге Теория расчета нефтяных аппаратов высокого давления [litres самиздат], автор: Константин Ефанов. Читайте комментарии и мнения людей о произведении.


Понравилась книга? Поделитесь впечатлениями - оставьте Ваш отзыв или расскажите друзьям

Напишите свой комментарий
x