Ричард Фейнман - 9. Квантовая механика II
- Название:9. Квантовая механика II
- Автор:
- Жанр:
- Издательство:неизвестно
- Год:неизвестен
- ISBN:нет данных
- Рейтинг:
- Избранное:Добавить в избранное
-
Отзывы:
-
Ваша оценка:
Ричард Фейнман - 9. Квантовая механика II краткое содержание
9. Квантовая механика II - читать онлайн бесплатно полную версию (весь текст целиком)
Интервал:
Закладка:

и т. д. Каждое |+'>-состояние в T -системе получается как из |+>-, так и из |->-состояний в системе S с помощью матричных элементов из табл. 10.4 (вып. 8, стр. 267).
Если мы имеем тройку частиц со спином 1/ 2, то (10.47) надо заменить на

Пользуясь обозначениями табл. 10.4, получим вместо (10.48) уравнение

Это уже дает нам некоторые из наших матричных элементов < jT| iS > . Чтобы получить выражение для 3/ 2, + 1/ 2, S > мы должны исходить из преобразования состояния с двумя плюсами и одним минусом. К примеру,

Добавляя два сходных выражения для + — +> и | — + +> и деля на ]/3, найдем

Продолжая этот процесс, мы найдем все элементы < jТ | iS> матрицы преобразования. Они приведены в табл. 16.2. Первый столбец получается из (16.32), второй — из (16.34). Последние два столбца были вычислены таким же способом. Теперь допустим, что T -система была повернута относительно S -системы на угол q вокруг ее оси у. Тогда а, b, с и d равны [см. (10.54), вып. 8]: а=d= cosq/2, с =- b =sinq/2. Подставляя это в табл. 16.2, получаем формулы, похожие на вторую половину табл. 15.2, но на этот раз для системы со спином 3/ 2.
Таблица 16.2 · МАТРИЦА ПОВОРОТА ДЛЯ ЧАСТИЦЫ СО СПИНОМ 3/ 2
Коэффициенты а, b, с и d объясняются в табл. 10.4.

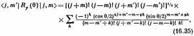
Рассуждения, которые мы только что провели, были обобщены на систему с произвольным спином j . Состояния | j, m > можно составить из 2 j частиц со спином 1/ 2у каждой. (Из них j+m будут в ] + >-состоянии, а j - m будут в |->-состоянии.) Проводится суммирование по всем возможным способам, какими их можно сочетать, а затем состояния нормируются умножением на надлежащую постоянную. Если у вас есть способности к математике, то вы сможете доказать, что получается следующий результат:

где k пробегает все те значения, при которых под знаком факториала получаются неотрицательные величины.
Это очень запутанная формула, но с ее помощью вы сможете проверить табл. 15.2 для j =1 (стр. 129) и составить ваши собственные таблицы для больших j. Некоторые матричные элементы очень важны и получили особые наименования. Например, матричные элементы для m= m'= 0и целых j известны под названием полиномов Лежандра и обозначаются </, 0 | 
Первые из них таковы:
P 0(cosq)=l, (16.37)
P 1(cosq)=cosq, (16.38)

§ 5. Измерение ядерного спина
Продемонстрируем теперь пример, где понадобятся только что описанные коэффициенты. Он связан с проделанными не так давно интересными опытами, которые вы теперь в состоянии будете понять. Некоторым физикам захотелось узнать спин одного из возбужденных состояний ядра Ne 20. Для этого они принялись бомбить углеродную мишень пучком ускоренных ионов углерода и породили нужное им возбужденное состояние Ne 20(обозначаемое Ne 20*) в реакции

где a 1— это a-частица, или Не 4. Кое-какие из создаваемых таким образом возбужденных состояний Ne 20неустойчивы и распадаются таким путем:

Значит, на опыте видны возникающие в реакции две a-частицы. Обозначим их a 1и a 2; поскольку они вылетают с разными энергиями, их можно отличить друг от друга. Кроме того, выбирая a 1, имеющие нужную энергию, мы можем отобрать любые возбужденные состояния Ne 20.
Опыт ставился так, как показано на фиг. 16.9.

Фиг. 16.9. Размещение приборов в опыте по определению спина возбужденных состояний Ne 20.
Пучок ионов углерода с энергией 16 Мэв был направлен на углеродную пленку. Первая a-частица регистрировалась кремниевым детектором, настроенным на прием a-частиц с нужной энергией, движущихся вперед (по отношению к падающему пучку ионов С 12). Вторая a-частица регистрировалась счетчиком a 2, поставленным под углом q к a 1. Скорость счета сигналов совпадений от a 1и a 2измерялась как функция угла q.
Идея опыта в следующем. Прежде всего нужно знать, что спины С 12, О 16и a-частицы все равны нулю. Назовем направление движения начальных частиц С 12направлением +z; тогда известно, что Ne 20*должен обладать нулевым моментом количества движения относительно оси z. Ведь ни у одной из остальных частиц нет спина; кроме того, С 12прилетает вдоль оси z и a 1улетает вдоль оси z, так что у них не может быть момента относительно этой оси. И каким бы ни был спин j ядра Ne 20*, мы знаем, что это ядро находится в состоянии | j , 0> . Что же случится, когда Ne 20*распадется на О 16и другую a-частицу? Что ж, a-частицу поймает счетчик a 2, а О 1 6, чтобы сохранить начальный импульс, вынужден будет уйти в противоположную сторону. Относительно новой оси (оси a 2) не может быть тоже никакой компоненты момента количества движения. А раз конечное состояние имеет относительно новой оси нулевой момент количества движения, то у распада Ne 20*должна быть некоторая амплитуда того, что m' =0, где m'— квантовое число компоненты момента количества движения относительно новой оси. Вероятность наблюдать a 2под углом q будет на самом деле равна квадрату амплитуды (или матричного элемента)

Чтобы получить спин интересующего нас состояния Ne 20*, вычертим интенсивность наблюдений второй a-частицы как функцию угла и сравним с теоретическими кривыми для различных значений j. Как мы отмечали в конце предыдущего параграфа, амплитуды < j ,0| R y (q)| j ,0>—это просто функции Р j (cosq). Значит, угловые распределения будут следовать кривым [ P j (cosq)] 2. Экспериментальные результаты для двух возбужденных состояний показаны на фиг. 16.10.
Читать дальшеИнтервал:
Закладка: