Валерий Соломин - Психологическая безопасность: учебное пособие
- Название:Психологическая безопасность: учебное пособие
- Автор:
- Жанр:
- Издательство:Литагент «Дрофа»d9689c58-c7e2-102c-81aa-4a0e69e2345a
- Год:2008
- Город:М.
- ISBN:978-5-358-00865-6
- Рейтинг:
- Избранное:Добавить в избранное
-
Отзывы:
-
Ваша оценка:
Валерий Соломин - Психологическая безопасность: учебное пособие краткое содержание
В пособии рассматриваются факторы, влияющие на психологическую безопасность личности, средства психологической саморегуляции, приводятся методики, позволяющие определить структуру и основные характеристики личности, а также способность человека правильно вести себя в чрезвычайных ситуациях.
Для студентов высших учебных заведений, обучающихся по специальности «Безопасность жизнедеятельности», а также для широкого круги специалистов.
Психологическая безопасность: учебное пособие - читать онлайн бесплатно полную версию (весь текст целиком)
Интервал:
Закладка:
В процессе обучения и воспитания, деятельности и общения у человека развиваются различные свойства и виды внимания, образуются относительно устойчивые их сочетания (индивидуально-типологические особенности внимания, обусловленные также и типом нервной системы), на основе которых формируется внимательность как свойство личности.
Методика «Корректурная проба»
Применяется для обследования детей среднего и старшего школьного возраста и взрослых.
Цель:исследование степени концентрации и устойчивости внимания.
Описание.Обследование проводится с помощью специальных бланков с рядами расположенных в случайном порядке букв (цифр, фигур, может быть использован газетный текст вместо бланков). Испытуемый просматривает текст или бланк ряд за рядом и вычеркивает определенные, указанные в инструкции буквы или знаки.
Инструкция.На бланке с буквами вычеркните, внимательно просматривая ряд за рядом, все буквы «е». Через каждые 60 с по моей команде отметьте вертикальной чертой, сколько знаков вы уже просмотрели (успели просмотреть). Время работы – 5 мин. Возможны другие варианты проведения методики: вычеркивать буквосочетания (например, «но») или вычеркивать одну букву, а другую подчеркивать.
Интерпретация результатов.С помощью данной методики определяются такие качества внимания, как концентрация, устойчивость и переключаемость. Результаты пробы оцениваются по количеству пропущенных незачеркнутых знаков, по времени выполнения или по количеству просмотренных знаков. Важным показателем является характеристика качества и темпа выполнения (выражается числом проработанных строк и количеством допущенных ошибок за каждый 60-секундный интервал работы).
Концентрация внимания оценивается по формуле:

где С – число строк таблицы, просмотренных испытуемым; п – количество ошибок (пропусков или ошибочных зачеркиваний лишних знаков).
Ошибкой считается пропуск тех букв, которые должны быть зачеркнуты, а также неправильное зачеркивание.
Устойчивость внимания оценивается по изменению скорости просмотра на протяжении всего задания.
Результаты подсчитываются для каждых 60 с по формуле:

где А – темп выполнения; S – количество букв в просмотренной части корректурной таблицы; t – время выполнения.
По результатам выполнения методики за каждый интервал может быть построена «кривая истощаемости», отражающая устойчивость внимания и работоспособность в динамике.
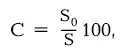
Показатель переключаемости вычисляется по формуле:

где S 0– количество ошибочно проработанных строк; S – общее количество строк в проработанной испытуемым части таблицы.
При оценке переключаемости внимания испытуемый получает инструкцию зачеркивать разные буквы в четных и нечетных строках корректурной таблицы.
Норма объема внимания – 850 знаков и выше; концентрация – 5 ошибок и менее.
Бланк для ответов

Методика «Красно-черная таблица»
Применяется для обследования лиц любого возраста.
Цель:оценка переключения внимания.
Описание.Обследуемые должны находить на предложенной им таблице красные и черные числа попеременно и записывать только буквы, соответствующие этим числам, причем красные числа нужно находить в убывающем порядке, а черные – в возрастающем. Обследуемым зачитывается соответствующая инструкция.
Инструкция.Вам будет предложена таблица с красными и черными числами. Вы должны отыскивать красные и черные числа попеременно, причем красные в убывающем порядке, от 25 до 1, а черные в возрастающем – от 1 до 24. Записывать надо только буквы, стоящие рядом с числами. Время работы – 5 мин. Например: красная цифра 25, пишем букву «р», потом черная цифра 1, пишем букву «в», далее, красная цифра 24, пишем букву «и», черная цифра 2, пишем букву «н». Таким образом, на листе ответов получается ряд букв:

Примечание: заштрихованные квадраты соответствуют красному цвету символов.
Оценка.Результаты оцениваются по количеству правильно воспроизведенных букв.
Методика Мюнстерберга
Рекомендуется для использования при профотборе на специальности, требующие хорошей избирательности и концентрации внимания, а также высокой помехоустойчивости. Применяется для обследования подростков и взрослых.
Цель:определение избирательности внимания.
Инструкция.Среди буквенного текста имеются слова. Ваша задача как можно быстрее, считывая текст, подчеркнуть эти слова. Время работы – 2 мин. Например: рюклбюс радость уфркип
Бланк для ответов

Оценка.Оценивается количество выделенных слов и количество ошибок (пропущенные и неправильно выделенные слова).
Методика «Расстановка чисел»
Рекомендуется использовать методику при профотборе на специальности, требующие хорошего развития функции внимания. Применяется для обследования подростков и взрослых.
Цель:предназначена для оценки произвольного внимания.
Инструкция.За 2 мин вы должны расставить в свободных клетках нижней части бланка в возрастающем порядке (слева направо) числа, которые расположены в случайном порядке в 25 клетках верхней части бланка. Числа записываются построчно, никаких отметок в верхней части бланка делать нельзя.
Бланк для ответов

Оценкапроизводится по количеству правильно записанных чисел. Средняя норма – 22 числа и выше.
Методика «Таблицы Шульца»
Применяется для обследования лиц любого возраста.
Цель:определение устойчивости внимания и динамики работоспособности.
Описание.Испытуемому поочередно предлагается пять таблиц (1–5), на которых в произвольном порядке расположены числа от 1 до 25. Испытуемый отыскивает, показывает и называет числа в порядке их возрастания. Проба повторяется с пятью разными таблицами.
Читать дальшеИнтервал:
Закладка: