Валерий Соломин - Психологическая безопасность: учебное пособие
- Название:Психологическая безопасность: учебное пособие
- Автор:
- Жанр:
- Издательство:Литагент «Дрофа»d9689c58-c7e2-102c-81aa-4a0e69e2345a
- Год:2008
- Город:М.
- ISBN:978-5-358-00865-6
- Рейтинг:
- Избранное:Добавить в избранное
-
Отзывы:
-
Ваша оценка:
Валерий Соломин - Психологическая безопасность: учебное пособие краткое содержание
В пособии рассматриваются факторы, влияющие на психологическую безопасность личности, средства психологической саморегуляции, приводятся методики, позволяющие определить структуру и основные характеристики личности, а также способность человека правильно вести себя в чрезвычайных ситуациях.
Для студентов высших учебных заведений, обучающихся по специальности «Безопасность жизнедеятельности», а также для широкого круги специалистов.
Психологическая безопасность: учебное пособие - читать онлайн бесплатно полную версию (весь текст целиком)
Интервал:
Закладка:
Инструкция.Испытуемому предъявляют первую таблицу: «На этой таблице числа от 1 до 25 расположены не по порядку». Затем таблицу закрывают и продолжают: «Покажите и назовите все числа по порядку от 1 до 25. Постарайтесь делать это как можно быстрее и без ошибок». Таблицу открывают и одновременно с началом выполнения задания включают секундомер. Вторая, третья и последующие таблицы предъявляются без всяких инструкций.
1.

2.

3.

4.

5.

Основной показатель выполнения, а также количество ошибок отдельно по каждой таблице.
По результатам выполнения каждой таблицы может быть построена «кривая истощаемости (утомляемости)», отражающая устойчивость внимания и работоспособность в динамике.

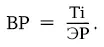
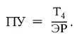
С помощью этого теста можно вычислить еще и такие показатели, как эффективность работы (ЭР), степень врабатываемости (ВР), психическая устойчивость (ПУ), которые предложены А. Ю. Козыревой.

где Т 1– время работы с первой таблицей; Т 2– время работы со второй таблицей; Т 3– с третьей таблицей; Т 4– с четвертой; Т 5– с пятой.
Оценка эффективности работы (в секундах) производится с учетом возраста испытуемого.

Степень вырабтываемости определяется по формуле:

Результат меньше 1,0 – показатель хорошей врабатываемости, соответственно, чем выше 1,0 данный показатель, тем больше испытуемому требуется подготовка к основной работе.
Психическая устойчивость (выносливость) определяется по формуле:

Показатель результата меньше 1,0 говорит о хорошей психической устойчивости, соответственно, чем выше данный показатель, тем хуже психическая устойчивость испытуемого.
ПАМЯТЬ
Память– форма психического отражения окружающей действительности, заключающаяся в запоминании, сохранении и последующем воспроизведении или узнавании того, что человек воспринимал, думал, переживал или делал ранее, т. е. отражение прошлого опыта. Память служит основой непрерывности психической деятельности, связывая прошлое, настоящее и будущее. Основные процессы памяти – запоминание, сохранение, забывание, воспроизведение.
Запоминание – процесс запечатления в сознании поступающей информации в виде образов, мыслей (понятий), переживаний и действий. Различают непроизвольное (непреднамеренное) и произвольное (преднамеренное) запоминание. Непроизвольное запоминание осуществляется как бы само собой, без преднамеренного желания что-то запомнить. Оно определяется не установками или целями, а особенностями объектов и отношением человека к ним. Так обычно запоминается то, что произвело яркое впечатление, вызвало сильные и глубокие переживания. Непроизвольное запоминание может быть эффективным, если оно включено в активную умственную деятельность. Например, артист в ряде случаев не заучивает специально текст роли, а запоминает его в ходе репетиций, главная цель которых заключается не в том, чтобы усвоить слова, а в том, чтобы вжиться в образ. Ведущим для человека является произвольное запоминание. Оно возникает и развивается в процессе общения людей и трудовой деятельности. Произвольное запоминание – запоминание целенаправленное (что запомнить, зачем, на какой срок, как использовать и пр.), а потому планомерное и организованное. Особая форма произвольного запоминания – заучивание. Оно используется тогда, когда необходимо что-то запечатлеть в памяти очень точно и прочно.
Сохранение – удержание в памяти в течение более или менее длительного времени и переработка того, что было запечатлено, что запомнилось. Сохраняется в памяти материал значимый, многократно повторяемый, постоянно использующийся в деятельности, хорошо понятый или запечатлевшийся с установкой «запомнить надолго». Как правило, первые и последние элементы ряда задерживаются в памяти лучше средних, это называется «фактором края». Главное условие сохранения – использование запомнившегося на практике, в деятельности. Это относится не только к знаниям, но и к навыкам и умениям.
Забывание – не всегда желательный, но неизбежный процесс, противоположный сохранению. Он протекает почти всегда непроизвольно. Благодаря забыванию в памяти не остается мелких, ненужных, незначимых деталей, запоминание обобщается. Частично забытое бывает трудно воспроизвести, но легко узнать. Быстро забывается то, что редко включается в деятельность человека, становится незначимым для него, систематически не подкрепляется восприятием и повторением. В этом положительная сторона забывания. Физиологической основой забывания является угасание связей. Основная потеря материала происходит в первые двое суток, самая большая часть информации забывается в течение первого часа.
Воспроизведение – избирательное оживление хранящейся в памяти информации в связи с потребностями человека, конкретными обстоятельствами и задачами в деятельности. Разновидность воспроизведения – узнавание, проявляющееся при вторичном восприятии объекта. Обычно возникающее при этом чувство «знакоместа» объекта сопровождается мыслью: «Да, я это где-то видел». Человек отождествляет отражаемое в настоящий момент с тем, что воспринималось раньше. Воспроизведение, подобно запоминанию, может быть произвольным и непроизвольным. Непроизвольное воспроизведение происходит, хотя и без всякого намерения, но не само собой. Толчком обычно служат ассоциации, вызванные определенными причинами. Произвольное воспроизведение осуществляется посредством волевых усилий для достижения сознательно поставленной цели. Главной особенностью такого воспроизведения является наличие осознаваемого мотива. Разновидность произвольного воспроизведения – припоминание – сознательное, целенаправленное воспроизведение, требующее специфического напряжения для преодоления внутренних затруднений. Виды памяти выделяют:
Читать дальшеИнтервал:
Закладка: