Ричард Фейнман - 8a. Квантовая механика I
- Название:8a. Квантовая механика I
- Автор:
- Жанр:
- Издательство:неизвестно
- Год:неизвестен
- ISBN:нет данных
- Рейтинг:
- Избранное:Добавить в избранное
-
Отзывы:
-
Ваша оценка:
Ричард Фейнман - 8a. Квантовая механика I краткое содержание
8a. Квантовая механика I - читать онлайн бесплатно полную версию (весь текст целиком)
Интервал:
Закладка:
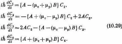
Смотрите, как удобно! Оператор Н', действуя на каждое состояние, дает просто число, умноженное на это же состояние. В матрице < i|H'|j > есть поэтому только диагональные элементы, и можно просто добавить коэффициенты из (10.28) к соответствующим диагональным членам в (10.13), так что гамильтоновы уравнения (10.14) обращаются в

Форма уравнений не изменилась, изменились только коэффициенты. И пока В не меняется со временем, можно все делать так же, как и раньше.
Подставляя
, мы получаем

К счастью, первое и четвертое уравнения по-прежнему не зависят от остальных, так что снова пойдет в ход та же техника. Одно решение — это состояние | I >, для которого

или

Другое решение

Для остальных двух уравнений потребуется больше работы, потому что коэффициенты при а 2и a 3уже не равны друг другу. Но зато они очень похожи на ту пару уравнений, которую мы писали для молекулы аммиака. Оглядываясь на уравнения (7.20) и (7.21), можно провести следующую аналогию (помните, что тамошние индексы 1 и 2 соответствуют здесь индексам 2 и 3):

Раньше энергии давались формулой (7.25), которая имела вид

Подставляя сюда (10.33), получаем для энергии

В гл. 7 мы привыкли называть эти энергии Е I и Е II , теперь мы их обозначим Е III и E IV :

Итак, мы нашли энергии четырех стационарных состояний атома водорода в постоянном магнитном поле. Проверим наши выкладки, для чего устремим В к нулю и посмотрим, получатся ли те же энергии, что и в предыдущем параграфе. Вы видите, что вес в порядке. При В= 0энергии Е I , Е II и Е III обращаются в + А, a E IV — в - ЗА. Даже наша нумерация состояний согласуется с прежней. Но когда мы включим магнитное поле, то каждая энергия начнет меняться по-своему. Посмотрим, как это происходит.
Во-первых, напомним, что у электрона m еотрицательно и почти в 1000 раз больше m р, которое положительно. Значит, и m e+m pи m e-m pоба отрицательны и почти равны друг другу. Обозначим их -m и -m':

(И m и m' положительны и по величине почти совпадают с m е, которое примерно равно одному магнетону Бора.) Наша четверка энергий тогда обратится в

Энергия Е I вначале равна А и линейно растет с ростом В со скоростью m. Энергия Е II тоже вначале равна A , но с ростом В линейно убывает, наклон ее кривой равен -m . Изменение этих уровней с В показано на фиг. 10.3. На рисунке показаны также графики энергий Е III и E IV . Их зависимость от В иная. При малых В они зависят от В квадратично; вначале наклон их равен нулю, а затем они начинают искривляться и при больших В приближаются к прямым с наклоном ±m', близким к наклону e i и Е II
Сдвиг уровней энергии атома, вызываемый действием магнитного поля, называется эффектом Зеемана. Мы говорим, что кривые на фиг. 10.3 показывают зеемановское расщепление основного состояния водорода.

Фиг. 10.3. Уровни энергии основного состояния
водорода в магнитном поле В .
Кривые E III и Е IV приближаются к пунктирным прямым
А±m'В.
Когда магнитного поля нет, то просто получается одна спектральная линия от сверхтонкой структуры водорода. Переходы между состоянием | IV > и любым из остальных трех происходят с поглощением или испусканием фотона, частота которого равна 1420 Мгц :1 /h, умноженной на разность энергий 44. Но когда атом находится в магнитном поле В, то линий получается гораздо больше. Могут происходить переходы между любыми двумя из четырех состояний. Значит, если мы имеем атомы во всех четырех состояниях, то энергия может поглощаться (или излучаться) в любом из шести переходов, показанных на фиг. 10.4 вертикальными стрелками.

Фиг. 10.4. Переходы между уровнями энергии основного состояния водорода в некотором магнитном поле В.
Многие из этих переходов можно наблюдать с помощью техники молекулярных пучков Раби, которую мы описывали в гл. 35, § 3 (вып.7).
Что же является причиной переходов? Они возникают, если наряду с сильным постоянным полем B приложить малое возмущающее магнитное поле, которое меняется во времени. То же самое мы наблюдали и при действии переменного электрического поля на молекулу аммиака. Только здесь виновник переходов — это магнитное поле, действующее на магнитные моменты. Но теоретические выкладки те же самые, что и в случае аммиака. Проще всего они получаются, если взять возмущающее магнитное поле, вращающееся в плоскости ху, хотя то же будет от любого осциллирующего горизонтального поля. Если вы вставите это возмущающее поле в качестве добавочного члена в гамильтониан, то получите решения, в которых амплитуды меняются во времени, как это было и с молекулой аммиака. Значит, вы сможете легко и аккуратно рассчитать вероятность перехода из одного состояния в другое. И обнаружите, что все это согласуется с опытом.
Читать дальшеИнтервал:
Закладка: