Константин Ефанов - Аппараты с перемешивающими устройствами

Тут можно читать онлайн Константин Ефанов - Аппараты с перемешивающими устройствами - бесплатно ознакомительный отрывок. Жанр: sci-phys, издательство Array SelfPub.ru, год 2021. Здесь Вы можете читать ознакомительный отрывок из книги онлайн без регистрации и SMS на сайте лучшей интернет библиотеки ЛибКинг или прочесть краткое содержание (суть), предисловие и аннотацию. Так же сможете купить и скачать торрент в электронном формате fb2, найти и слушать аудиокнигу на русском языке или узнать сколько частей в серии и всего страниц в публикации. Читателям доступно смотреть обложку, картинки, описание и отзывы (комментарии) о произведении.
  • Название:
    Аппараты с перемешивающими устройствами
  • Автор:
  • Жанр:
  • Издательство:
    Array SelfPub.ru
  • Год:
    2021
  • ISBN:
    978-5-532-03611-6
  • Рейтинг:
    4/5. Голосов: 11
  • Избранное:
    Добавить в избранное
  • Отзывы:
  • Ваша оценка:
    • 80
    • 1
    • 2
    • 3
    • 4
    • 5

Константин Ефанов - Аппараты с перемешивающими устройствами краткое содержание

Аппараты с перемешивающими устройствами - описание и краткое содержание, автор Константин Ефанов, читайте бесплатно онлайн на сайте электронной библиотеки LibKing.Ru
Монография написана по проблемам проектирования химических и нефтяных аппаратов с перемешивающими устройствами. Подробно рассмотрен расчет вала на резонанс вручную по теории колебаний и теория расчета на компьютере.

Аппараты с перемешивающими устройствами - читать онлайн бесплатно ознакомительный отрывок

Аппараты с перемешивающими устройствами - читать книгу онлайн бесплатно (ознакомительный отрывок), автор Константин Ефанов
Тёмная тема
Сбросить

Интервал:

Закладка:

Сделать

Х , Х 1 – нормальные функции, решения которых отыскиваются для удовлетворения граничным условиям.

После подстановки:

Тимошенко приводит пример стержня со свободно опертыми концами Функции Х и Х - фото 255

Тимошенко приводит пример стержня со свободно опертыми концами:

Функции Х и Х 1 в этом случае C i и D i произвольные постоянные Вводятся - фото 256

Функции Х и Х 1 в этом случае:

C i и D i произвольные постоянные Вводятся обозначения После подстановки - фото 257

C i и D i – произвольные постоянные.

Вводятся обозначения:

После подстановки получается Решения для C i и D i находятся в случае если - фото 258

После подстановки получается:

Решения для C i и D i находятся в случае если определитель уравнений равен - фото 259

Решения для C i и D i находятся в случае, если определитель уравнений равен нулю.

В этом случае частотное уравнение:

Из этой формулы Для случая совпадения центра тяжести с центром сдвига то - фото 260

Из этой формулы:

Для случая совпадения центра тяжести с центром сдвига то есть с 0 и λ 0 - фото 261

Для случая совпадения центра тяжести с центром сдвига, то есть с = 0 и λ =0 :

Аппараты с перемешивающими устройствами - изображение 262

Из формулы получаются две системы значений частот:

Аппараты с перемешивающими устройствами - изображение 263

Полученные частоты являются несвязанных друг с другом и независимых друг от друга частот изгибных (поперечных) и крутильных колебаний. Аналогичные результаты получаются для стержней с другими условиями закрепления концов.

Связанные изгибно-крутильные колебания можно найти методом Релея-Ритца [30,с.430].

__

Итак, по представленным данным Тимошенко возможен раздельный расчет на поперечные и крутильные колебания , либо расчет на изгибно-крутильные колебания методом Релея-Ритца.

Результат этого вывода может быть использован конструкторами для упрощения проблем проектирования валов с мешалками. То есть выполнять расчет поперечных колебаний и расчет крутильных колебаний по отдельности. Для определенных технических целей необходимо выполнение только одного из видов расчетов. Изложенная теория даст более глубокое понимание физики колебаний вала. Однако, правильно выполнять расчет на изгибно-крутильные колебания вала с мешалками.

Расчет изгибно-крутильных колебаний вала с мешалками по данным [32].

Рассмотрим шарнирно опертый стержень [32,с.200]. Система уравнений распадется на две независимые системы. Уравнение, описывающее только изгибные колебания в плоскости симметрии:

Уравнения описывающие изгибнокрутильные колебания Граничные условия при x - фото 264

Уравнения, описывающие изгибно-крутильные колебания:

Граничные условия при x 0 и x l Граничные условия удовлетворяются при - фото 265

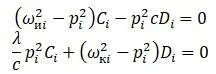
Граничные условия при x = 0 и x = l :

Граничные условия удовлетворяются при Собственные частоты определяются из - фото 266

Граничные условия удовлетворяются при:

Собственные частоты определяются из формулы Частоты изгибных и крутильных - фото 267

Собственные частоты определяются из формулы:

Частоты изгибных и крутильных колебаний Собственные частоты коле - фото 268

Частоты изгибных и крутильных колебаний Аппараты с перемешивающими устройствами - фото 269:

Собственные частоты колебаний При a 3 0 центр тяжести и центр изгиба - фото 270 Аппараты с перемешивающими устройствами - изображение 271

Собственные частоты колебаний:

Аппараты с перемешивающими устройствами - изображение 272

При a 3= 0 центр тяжести и центр изгиба совпадают,

Аппараты с перемешивающими устройствами - изображение 273

__

Как видно, формулы Тимошенко и по справочнику [32] для определения поперечных и изгибных колебаний почти полностью совпадают.

Однако, Тимошенко указывает о независимости от и необходимости применения метода Релея-Ритца.

__

Таким образом, для вала с мешалками как для балки по приведенной выше теории должны быть рассчитаны поперечные колебания, например, для неразрезной балки на трех опорах.

Затем должны быть рассчитаны крутильные колебания. Но в процессе перемешивания крутильных колебаний может и не возникать, в этом случае критические частоты будут строго соответсвовать поперечным частотам собственных колебаний. В случае наличия крутильных колебаний, их необходимо определить и проверку прочности выполнить для поперечных и крутильных колебаний.

Метод определения критической скорости по работе Тимошенко [31], где колебания связываются с эксцентриситетом необходимо считать некорректным. Колебания возникнут и при отсутсвиии эксцентриситета, однако, условия для статической балки и вращающегося вала с учетом эксцентриситета будут отличаться.

__

Тимошенко указывает о необходимости численного выполнения расчетов колебаний в работе [30]. То есть в том числе маститый специалист признает превосходство численных методов над ручными расчетами.

__

Итак, можно сделать следующий вывод: теорию колебаний можно применять для ручного расчета на практике, но она больше необходима для глубокого понимания физики процесса колебаний, а расчеты должны выполняться методом конечных элементов в специальном программном пакете, например, ANSYS.

Расчет валов методом конечных элементов

В динамической задаче воздействие внешних сил является функцией времени. Напряженно-деформированное состояние зависит от времени. Время является дополнительным параметром, усложняющим расчет по сравнению со статическими расчетами.

Уравнения движения динамической системы выводятся с применением принципа Даламбера, на основе принципа возможных перемещений, на основе вариационного принципа Гамильтона.

Метода Даламбера удобно применять для систем с небольшим числом степеней свободы [20,с.486], к которым относятся валы с мешалками. Но вариационный подход Гамильтона является обобщением методов. Поэтому расчет вала с мешалками методом конечных элементов приведем на основе вариационного подхода Гамильтона.

Читать дальше
Тёмная тема
Сбросить

Интервал:

Закладка:

Сделать


Константин Ефанов читать все книги автора по порядку

Константин Ефанов - все книги автора в одном месте читать по порядку полные версии на сайте онлайн библиотеки LibKing.




Аппараты с перемешивающими устройствами отзывы


Отзывы читателей о книге Аппараты с перемешивающими устройствами, автор: Константин Ефанов. Читайте комментарии и мнения людей о произведении.


Понравилась книга? Поделитесь впечатлениями - оставьте Ваш отзыв или расскажите друзьям

Напишите свой комментарий
x